Location: Home >> Detail
TOTAL VIEWS
J Sustain Res. 2021;3(3):e210015. https://doi.org/10.20900/jsr20210015
1 Sun Moon University, 70 Sunmoon-ro 221 beon-gil, Tangjeong-myeon, Asan-si, Chungcheongnam-do, 31460, Korea
2 James Madison University, 800 S Main St, Harrisonburg, VA 22807, USA
* Correspondence: Hanna Park.
This article belongs to the Virtual Special Issue "Corporate Sustainability"
Stakeholder engagement has been an important research topic across many disciplines. In this study, we examined the concept of stakeholder engagement in corporate social responsibility (CSR) and identified how organizations engage stakeholders in their CSR communication by analyzing successful CSR programs. Two coders conducted a content analysis of 146 Public Relations Society of America (PRSA) Silver Anvil Award-winning CSR campaigns implemented during the past ten years. The results show that many organizations have engaged stakeholders in their CSR programs in various ways to increase awareness about social issues, change stakeholder behavior, and create favorable attitudes toward the organizations. As for CSR communication strategies, stakeholder response strategies were frequently observed, which is relevant to the two-way asymmetric communication model. Many organizations receive feedback from their stakeholders and demonstrate how they integrate their stakeholders’ concerns. The result also shows that social media is widely used for digital engagement. However, despite its potential to become an interactive, dialogic space, response strategy is used more often than involvement strategy. Although co-creating a CSR strategy with stakeholders and making a shared decision (i.e., stakeholder involvement strategy) is ideal for building a mutually beneficial relationship between an organization and its stakeholders, few organizations have employed this strategy. This study also found that partnership is a common stakeholder engagement strategy in CSR communication. Many organizations have used third-party endorsement and engaged nonprofits, opinion leaders, and social media influencers in their CSR communication.
Organizations are increasingly involved in socially responsible activities such as environmental protection, sustainable development, fair treatment of employees, product quality and safety, community development, cause-related marketing, sponsorship, and other philanthropic activities. For example, GE launched Ecomagination in 2005 as its responsible business model to reduce greenhouse gas emissions and promote renewable energy sources while generating profits [1]. In 2001, Levi’s® made efforts to communicate about important teen issues such as gun violence [2]. The company is now involved in Blue Jeans Go Green program, which is focused on recycling denim to reduce its environmental footprint [3].
Corporate social responsibility (CSR) has become “an important component of the dialogue between companies and their stakeholders” [4]. A stakeholder is “any group or individual who can affect or is affected by the achievement of an organization’s objectives” [5]. According to the G&A Institute’s recent study, 86% of S&P 500 Index® companies published CSR reports in 2018 [6]. CSR is broadly defined as a corporate commitment to operating a business in a manner that meets or exceeds the economic, legal, and ethical expectations demanded by society, especially its stakeholders, while voluntarily engaging in philanthropic activities [7–9]. As a corporate citizen, companies are expected to be accountable to their stakeholders and invest in society’s well-being at large. CSR allows organizations to enact positive change. Many studies have found that CSR positively influences relationships with stakeholders, corporate image and reputation, and other supportive behaviors [10–12].
A recent CSR trend is that many organizations are attempting to engage stakeholders (e.g., consumers, employees, community, shareholders, etc.) in their socially responsible activities to gain support [13]. The topic of stakeholder engagement has also received significant attention from scholars in business and public relations. Stakeholder engagement refers to the process by which an organization identifies, communicates with, and responds to stakeholders. Many studies have suggested interactions and communication as the key to stakeholder engagement in CSR [13,14]. According to Greenwood, stakeholder engagement can be defined as an organization’s efforts to involve stakeholders in its business and various activities in a positive manner [15].
Why do organizations attempt to engage stakeholders in their CSR activities? Why is stakeholder participation meaningful in terms of CSR practice? What are the benefits of engaging stakeholders in the development and implementation of CSR campaigns? Which stakeholders are engaged with CSR communication? What kinds of research methods are used to listen to their voice? What kinds of traditional and digital media are frequently utilized for CSR communications? What are some ways to actively engage stakeholders in CSR communication? How can companies use social media as a part of their CSR strategy? There are many important questions to be considered related to stakeholder engagement in CSR.
To answer the aforementioned questions, we explored the concept of stakeholder engagement in CSR through a content analysis of the Public Relations Society of America’s (PRSA) Silver Anvil Award-winning CSR campaigns. Each year, PRSA’s Silver Anvil Awards recognize the best communication programs that address and demonstrate excellence, ethical principles, and professional skills. The Silver Anvil Award-winning case studies that are provided on PRSA’s website are valuable sources for educators and professionals. They highlight the essential components of communication programs, such as research, planning, execution, and evaluation. By conducting a thorough analysis of real-world CSR cases, we hope to understand how stakeholders are engaged in CSR and to provide useful guidance for communication professionals who plan CSR campaigns.
CSR has been an important topic both in the public relations industry and the academic world, given that the primary purpose of CSR aligns with the core concept of public relations, mutually beneficial relationship. Dahlsrud summarized numerous definitions of CSR through a literature review and content analysis. Although there is no consensus on defining CSR, many definitions exist in practice and research [16]. For example, Falck and Heblich defined CSR as “a voluntary corporate commitment to exceed the explicit and implicit obligations imposed on a company by society’s expectations of conventional corporate behavior” [17]. As cited in Dahlsrud [16], World Business Council for Sustainable Development (WBCSD) defined CSR as “the continuing commitment by business to behave ethically and contribute to economic development while improving the quality of life of the workforce and their families as well as of the local community and society at large” [18].
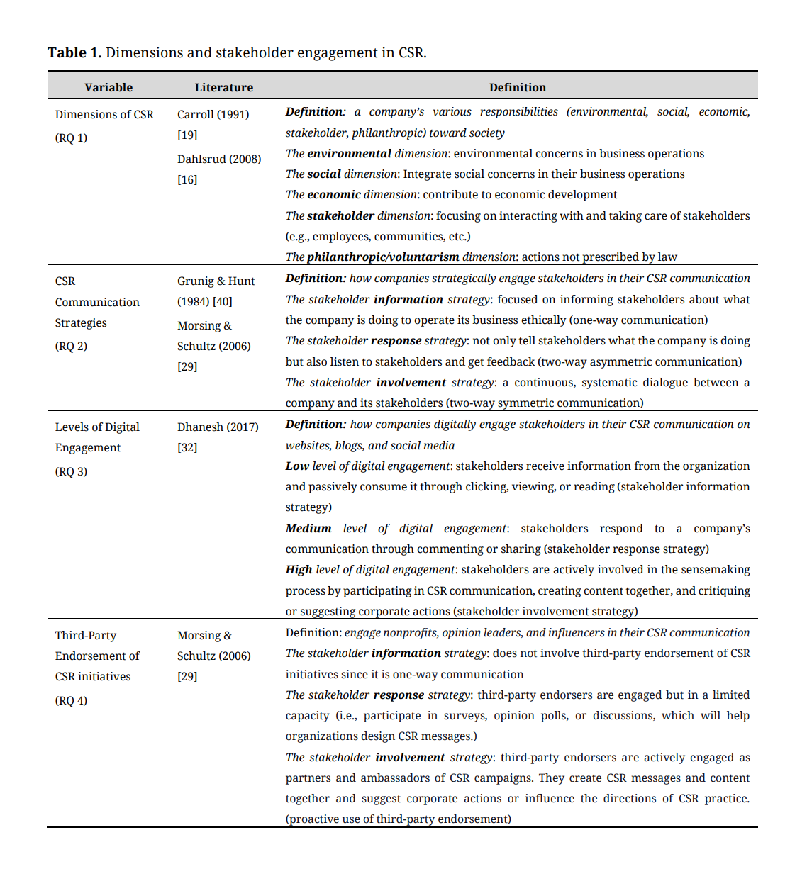
Carroll (1991) conceptualized the CSR hierarchy and outlined four different kinds of organizational responsibilities: economic responsibility, legal responsibility, ethical responsibility, and discretionary responsibility. He argued that business has the social responsibility to meet the economic, legal, ethical, and discretionary expectations that the society and stakeholders of organizations have. Economic responsibility is a company’s fundamental obligation to produce an acceptable return on its investment. Legal responsibility is a company’s duty to do its business within the legal framework. Companies should operate within the laws and regulations required in society. Ethical responsibility goes beyond normative expectations. A company should do what is right for its stakeholders and society. Discretionary responsibility represents a company’s voluntary commitment to be a good corporate citizen within society [19].
Dahlsrud [16] identified five CSR dimensions through a content analysis of CSR definitions: environmental dimension, social dimension, economic dimension, stakeholder dimension, and voluntariness dimension. The environmental dimension is related to corporate commitment to the natural environment, such as “environmental stewardship” or “environmental concerns in business operations” (p. 4). The social dimension is focused on the relationship between business and society. CSR practices in the social dimension can “contribute to a better society, integrate social concerns in their business operations, and consider the full scope of their impact on communities” (p. 4). The economic dimension is focused on the financial aspects and describes CSR in terms of a business operation. The stakeholder dimension is related to companies’ interaction with their stakeholders, including consumer relations, employee relations, investor relations, and community relations. The voluntariness dimensions include actions that are not prescribed by law and in response to society’s expectation that companies should be good citizens [20].
In our study, we define CSR as a company’s various responsibilities (environmental, social, economic, stakeholder, philanthropic) toward society based on Dahlsrud’s five dimensions of CSR [16]. The five CSR dimensions outlined by Dahlsrud can provide a practical framework for understanding different types of CSR practices used in the industry and help companies decide their CSR direction. For example, environmental CSR is one of the most common forms of CSR, and many companies prioritizing the impact of their businesses on the environment. Starbucks has engaged its consumers, employees, and influencers in its Earth Month campaign in an effort to reduce its environmental impact. Philanthropic CSR actions are also widely used by corporations. For example, TOMS Shoes has engaged its customers in a philanthropic CSR program called One for One and donated 100 million pairs of shoes to people in need [21]. Examining the dimensions of CSR programs that are created and implemented by corporations in the past might provide practical implications for future CSR practices. Thus, we formulated the following research question:
RQ 1. What dimensions of CSR (environmental, social, economic, stakeholder, and philanthropic) are frequently observed among successful CSR campaigns?
CSR and Stakeholder EngagementThe concept of engagement has been widely studied and discussed in the field of marketing, business, and communication. Sloan defined stakeholder engagement as “the process of involving individuals and groups that either affect or are affected by the activities of the company” [22]. Saks differentiated engagement from involvement or commitment [23]. According to Saks, engagement is “the degree to which an individual is attentive and absorbed in the performance of their roles” (p. 602), while organizational commitment is an individual’s attitude and attachment toward the organization [23]. Macey and Schneider argued that there are many different definitions of engagement; it could be a psychological state, a performance construct, a disposition, or some combination of the three [24].
Previous research in marketing and business has found that the companies whose employees had above-average levels of engagement had higher profits, higher levels of customer satisfaction, and lower levels of turnover and accidents [25]. Also, according to an article on Forbes, “The Top 10 Trends in CSR for 2012,” the connection between CSR and employee engagement is increasingly important because companies that highly engage their employees tend to make more environmental and social efforts and generate greater profits than companies with low engagement [26]. Because of such positive business outcomes, engagement becomes increasingly important.
Given that CSR is a corporate commitment to operating a business in a manner that meets or exceeds the economic, legal, and ethical expectations demanded by society, stakeholder engagement is the essence of CSR [27]. Companies are now expected not only to be aware of their stakeholders’ needs and wants but also to actively engage them in the decision-making process [28]. Devin and Lane also argued that communicating with stakeholders about a company’s stakeholder engagement in CSR is important [13]. They suggested that companies should engage stakeholders in their CSR process to share ideas and opinions regarding CSR activities and programs appropriate for the company. Similarly, Morsing and Schultz pointed out the importance of stakeholder engagement to develop a “long-term mutual relationship” (p. 324) between organizations and their stakeholders [29].
Greenwood defined stakeholder engagement as “practices that the organization undertakes to involve stakeholders in a positive manner in organizational activities” ([15], p. 317–318). According to her, “the more an organization engages with its stakeholders, the more accountable and responsible that organization is towards these stakeholders” ([15], p. 315). Similarly, Bruce and Shelley explained that stakeholder engagement is the interaction between an organization and its internal and external publics, which are individuals and groups that can be influenced by or influence the organization [30]. Taylor and Kent explored the concept, engagement within the dialogic theory, and argued that “engagement is a part of dialogue and through engagement, organizations and publics can make decisions that create social capital” ([31], p. 384). They also wrote that engagement is “both an orientation that influences interactions and the approach that guides the process of interactions among groups” ([31], p. 384). Dhanesh reviewed the literature on the concept of engagement that has been discussed in the field of public relations and communication management and proposed the model of engagement between organizations and the public [32]. Based on the literature review, she summarized three clusters of engagement: digital engagement, employee engagement, and public/stakeholder engagement.
In our study, we define stakeholder engagement in CSR as a communication process involving interactions between an organization and its publics to achieve a CSR goal and generate mutual benefit for the community. Although we believe that real engagement is a two-way process that requires interactions between two parties involved, we considered and examined passive engagement as well in the light of Dhanesh’s argument that stakeholder communication can fall along the continuum between passive communicative engagement (control) and active communicative engagement (collaboration) [32]. We regard stakeholder engagement in CSR as a performance construct by focusing on behaviors. From an organizational standpoint, stakeholder engagement in CSR can be defined as an organization’s efforts to involve the stakeholders in its socially responsible performance. From the public’s standpoint, stakeholder engagement in CSR can be considered as the public’s willingness to become involved by placing its energy, efforts, and resources (time and money) into an organization’s CSR programs.
CSR Communication StrategiesG&A Institute’s recent research showed that 86% of S&P 500 Index® companies publish sustainability/responsibility reports in 2018 [6]. Sustainability/ responsibility reporting has become increasingly important, as shown in the dramatic changes in the number of companies that publish the reports, about 20% in 2011, 72% in 2013, and 85% in 2017. The practice of reporting corporate sustainability, responsibility, and citizenship is now an essential part of the business. Communicating CSR initiatives with internal and external stakeholders such as employees, customers, and shareholders, may evoke their positive reactions and increase business performance. Maignan, Ferrell, and Hult demonstrated the potential business value of CSR involvement by analyzing the relationships amongst employee commitment, customer loyalty, business performance, and proactive citizenship [33]. Although many studies have found the positive outcomes of CSR communication [34–36], there are also other studies suggesting that CSR communication might attract critical stakeholder attention as well [10,37,38]. Thus, more sophisticated CSR communication strategies should be used to maximize business benefits from CSR practice [10,29].
Stakeholder communication can fall along the continuum between passive communicative engagement and active communicative engagement. Cornelissen categorized different types of stakeholder communication into informational strategy, persuasive strategy, and dialogue strategy [39]. The informational strategy is informing stakeholders through press releases, newsletters, and reports. The persuasive strategy is intended for changing the knowledge, attitude, or behavior of stakeholders through advertising, campaigns, meetings, and discussions. The dialogue strategy is based on the mutual exchange of ideas and opinions between companies and their stakeholders and incorporating those ideas in the companies’ decision-making process. He explained that the informational strategy is one-way communication, and the information flows from organizations to their stakeholders. However, persuasive and dialogue strategies are two-way communication, which involves the exchange of ideas between the two parties.
Similarly, Morsing and Schultz outlined three CSR communication strategies [29] based on Grunig and Hunt’s four models of public relations that includes press agentry, public information, two-way asymmetrical, and two-way symmetrical model [40]. Given that press agentry is one-way communication and does not adhere to virtues of honesty and accuracy, it is not elaborated in Morse and Schultz’s model. They wrote that CSR communication should represent the truth; thus, press agentry is inappropriate for CSR communication. The three CSR communication strategies conceptualized by Morsing and Schultz are stakeholder information (similar to Grunig & Hunt’s public information), stakeholder response (similar to two-way asymmetric communication), and stakeholder involvement (similar to two-way symmetric communication).
The stakeholder information strategy is related to sensegiving while two-way communication strategies are based on not only sensegiving but also sensemaking [29]. Companies inform their stakeholders through one-way communication channels such as sustainability reports, press releases, brochures, magazines, etc. and try to give sense to their audience. The stakeholder information strategy can be used to inform their stakeholders about what the company is doing to operate its business ethically and build and maintain positive stakeholder support. However, this strategy does not involve “listening” but just “telling” in that CSR decisions and actions are made by top management or the company [29]. Thus, there is no interaction between an organization and its stakeholders.
The stakeholder response strategy is two-way asymmetric, which communication flows to and from the stakeholders [29]. Companies using this strategy tell their stakeholders what they are doing, listen to their stakeholders, and get feedback through surveys, focus groups, and other primary research. However, this strategy is still sender oriented given that stakeholders can make their voice but in a limited capacity. In this model, top management has decided on CSR communication and implemented it to demonstrate to stakeholders how the company integrates their concern to be ethical and socially responsible [29].
The last strategy is stakeholder involvement. This strategy is based on a continuous, systematic dialogue between an organization and its stakeholders. The organization may influence its stakeholders, but stakeholders can also influence the organization and change its actions [29]. This means that stakeholders should be actively engaged in CSR communication, from deciding on what CSR initiatives are communicated to implementing and evaluating the CSR programs. This strategy is related to one of the relationship maintenance strategies, “sharing of tasks” suggested by Hon and Gruning [41]. The sharing of tasks is an organization’s sharing of effort with the public to solve a problem or deal with an issue. It contributes to building and maintaining a good relationship between an organization and its publics.
Morsing and Schultz’s study found that approximately 90% of the survey participants agreed that companies should communicate their good deeds when they engage in acts of corporate citizenship [29]. They wrote that the public’s opinions regarding CSR communication might change over time. Thus, an empirical study that examines how the three aforementioned CSR communication strategies have been used in the past ten years would be interesting and significant. By analyzing previous CSR campaigns, we can find out what strategies are frequently used in practice and discuss why a certain strategy is preferred. To examine how organizations have engaged their stakeholders in CSR using different communication strategies, we formulated the following research question:
RQ 2: Which CSR communication strategies (stakeholder information, stakeholder response, stakeholder involvement) are frequently observed among successful CSR campaigns?
Digital EngagementAs stakeholder communication moves from print to digital, engaging stakeholders in the digital environment is becoming an essential strategy in CSR communication. Social media, such as Facebook and Twitter, are used as essential communication tools for CSR programs [26]. Social Impact Survey conducted by Weber Shandwick found that social media plays a vital role in raising awareness and drive engagement for companies’ CSR programs. Among 216 corporate executives working in Fortune 200 companies, 72% said that social media is used for CSR communication and 59% indicated its positive impact on the quality of their communication with stakeholders [42]. Research conducted by the U.S. Chamber of Commerce Foundation and IBM’s social media analytics team also found that communicating CSR efforts online can improve brand image and corporate reputation [43]. Based on the analysis of CSR-related mentions on social media, they found that companies promoting their CSR actions online experienced improvements in how social media users view them.
Dhanesh proposed a model of engagement and formulated typologies that outline different CSR communication levels [32]. Stakeholders can be engaged in passive communication in which the organization has control while also being involved in active communication and collaboration. She argued that stakeholder communication behavior can be measured online and offline. For example, clicks, views, and reads are passive forms of communication. Commenting, sharing, recommending, advocating, attending events, and joining a protest rally are some active forms of information-seeking behavior [32].
Although digital media allows companies to actively engage their stakeholders in CSR communication, it may have some constraints in terms of true collaboration. Illia et al. examined how companies digitally engaged their stakeholders in CSR communications and discovered that stakeholders perceived that companies might not promote open dialogue [44]. Stakeholders who participated in their study felt that companies had set the agenda for CSR communication in the past, but engaging stakeholders in the decision of CSR policies and actions would be beneficial. However, they also showed some skepticism about the shared decision model and were doubtful if it could be really implemented.
It would be meaningful to empirically examine how successful CSR campaigns use digital engagement on websites, blogs, and social media and what the level of digital engagement is. Applying Dhanesh’s model, we recategorized and conceptualized digital engagement into three levels: low level of digital engagement, medium level of digital engagement, and high level of digital engagement. Low digital engagement is related to the stakeholder information strategy. Stakeholders receive information from the organization and passively consume it through clicking, viewing, or reading. The next level of digital engagement is relevant to the stakeholder response strategy. Stakeholders now respond to the organization’s communication through commenting or sharing. In high digital engagement, stakeholders are actively involved in the sensemaking process by participating in CSR communication, creating content together, and critiquing or suggesting corporate actions. We consider that high digital engagement is the ideal model for online CSR communication.
RQ 3. Which digital engagement strategies (stakeholder information, stakeholder response, stakeholder involvement) are frequently employed by companies to engage their stakeholders in the digital environment (e.g., websites, blogs, and social media)?
Third-Party Endorsement in CSRMany companies use third-party endorsement in their CSR communication in recent years. For example, Allstate Foundation partnered with actress Kerry Washington to engage the public in their Purple Purse campaign to raise funds for domestic violence survivors [45]. She was involved not only as a spokesperson for the campaign but also in designing a series of limited-edition purple handbags that were used for fundraising. She also interacted with the public through Twitter. Also, the largest telecommunications company AT&T’s It Can Wait campaign had become a social movement as lots of nonprofits and companies, even including their competitors, joined the CSR initiative and supported the cause [46].
Third-party endorsement or influencer engagement can positively influence CSR communication. According to Yoon, Gürhan-Canli, and Schwarz, the key to successful CSR communication is minimizing stakeholders’ skepticism about a company’s CSR motives [47]. Engaging credible third-party endorsers in CSR communication would lower public skepticism [48]. Coombs and Holladay argued that third-party endorsements could “complement or reinforce CSR messages” (p. 114) by transferring the credibility of third-party endorsers to an organization when they support the organization’s CSR [49]. According to Smith, Kendall, Knighton, and Wright, influencers and brand ambassadors are critical stakeholder groups in marketing communication, but its role and impact have been underexamined [50].
Morsing and Schultze conceptualized the different levels of third-party endorsement in CSR communication and argued that proactive third-party endorsement would benefit corporations [29]. The stakeholder information strategy mentioned above does not involve third-party endorsement of CSR initiatives since it is one-way communication. In the stakeholder response model, third-party endorsers are engaged but in a limited capacity. They can participate in surveys, opinion polls, or discussions, which will help organizations design CSR messages. The stakeholder involvement strategy goes with the proactive use of third-party endorsement. Companies can actively engage third-party endorsers as their partners and campaign ambassadors and create CSR messages and content together. Third-party endorsers may suggest corporate actions or influence the directions of CSR practice. To describe how third-party endorsement is used in CSR practices, the following research question was formulated.
RQ 4. How do companies use third-party endorsement and engage nonprofits, opinion leaders, and influencers in their CSR communication?
PRSA Silver Anvil Award-Winning CSR CampaignsThe Public Relations Society of America (PRSA) recognizes the outstanding communication programs of the year. The Silver Anvil is the most prestigious award in the field of public relations. For more than 70 years, the Silver Anvil has been awarded to companies and nonprofit organizations that meet the highest standards of performance in public relations [51]. Senior-level professionals judge the entries and pick winners from the 18 categories every year. Judges evaluate the four components of public relations programs: research, planning, execution, and evaluation. The following are examples of evaluation criteria: research methods implemented, informed decision based on data, measurable objectives, overall strategies and tactics used, campaign budget, target audience, collaboration /partnership, outcomes, evaluation tools, etc. [51].
The PRSA website provides past Silver Anvil Award-winning case studies summarizing research, planning, execution, and evaluation of the programs. Those programs should comply with the ethical standards of the profession to be considered for the award. The Silver Anvil Award-winning case studies are valuable sources for educators and professionals since they highlight the essential components of communication programs and illustrate how organizations interact with their stakeholders.
The 18 award categories are as follows: community relations, content marketing, crisis communication, events and observances, financial communication, global communication, influencer marketing, integrated communication, internal communication, issues management, marketing, campaigns on a $5000 to $10,000 budget, campaigns on a shoestring budget, CSR, multicultural public relations, public affairs, public service, and reputation/brand management.
Among those categories, CSR and public service categories address the company’s efforts to be socially responsible in society. PRSA defines CSR campaigns as “programs that enhance a corporate reputation and demonstrate a business approach to initiatives that positively impact society” [51]. CSR programs should deliver economic, social, and environmental benefits to stakeholders. Public service campaigns are programs designed and implemented to advance “public understanding of societal issues, problems, or concerns” [51].
Community relations and internal communication are also relevant to corporate responsibility, stakeholder dimension in particular. According to PRSA, community relations aims to “improve relations with, or seek to win the support or cooperation of, people or organizations in communities in which the sponsoring organization has an interest, need or opportunity” [51]. Internal communication targets internal stakeholders, such as employees, members, dealers, and franchisees.
Analyzing PRSA’s Silver Anvil Award-winning CSR campaigns is especially useful in answering the research questions set forth above. The case studies will allow us to determine the extent to which organizations have engaged the stakeholders in their CSR campaigns and how engaging the public contributes to achieving campaign goals and objectives effectively. Reviewing the target audience, intended outcomes, and research methods used in these programs also provides useful guidance for designing and planning future CSR programs. Thus, we formulated additional research questions as follows:
RQ 5. What are the primary intended outcomes of CSR programs?
RQ 6. What types of research are conducted to understand the stakeholder and situation?
RQ 7. Which stakeholders are targeted for and engaged with CSR communication?
RQ 8. What are the forms of traditional and digital media frequently utilized for CSR communications?
To examine how organizations engage their stakeholders in CSR communication, we analyzed the Silver Anvil Award-winning CSR cases using the content analysis method. Cases were sampled by using the PRSA website search feature to limit the full scope of award-winning cases to those that reflected CSR cases. The search feature allows users to limit the search by year, topic, outcome, and other characteristics. Cases were gathered by selecting all cases categorized as CSR and public service for the past ten years, from 2010 to 2019. In addition, we used the keyword social responsibility, sustainability, social cause, environment, employee relations, and community relations. Among the initially screened articles, only CSR cases were chosen for further analysis by reviewing each case’s title and abstract. The final search identified a total of 146 Silver Anvil Award-winning CSR cases from 2010 to 2019.
MeasuresThis study coded each case based on ten categories: (a) award year, (b) industry, (c) dimension, (d) secondary research, (e) primary research methods, (f) targeted stakeholders (i.e., an organization’s internal stakeholders, economic stakeholders, and societal stakeholders), (g) targeted stakeholders’ generation, (h) intended outcomes, (i) communication channels used, (j) stakeholder engagement levels (i.e., stakeholder roles, identification of CSR focus, strategic communication tasks, third-party endorsement of CSR, and stakeholder digital engagement). Each of these ten categories is described as follows.
The industry was coded using 20 coding categories according to the PRSA Silver Anvil Award categorization. The industry categories by PRSA included: Oil/Gas, basic materials (e.g., chemicals, industrial metals, paper, etc.), industrials—construction/materials, industrials—industrial goods/services (e.g., industrial machinery), consumer goods—automobiles/parts, consumer goods—food/beverage, consumer goods—household goods/home construction, consumer goods—leisure goods(e.g., consumer electronics, recreational products), consumer goods—personal goods (e.g., clothing, personal products), consumer goods-tobacco, health care (e.g., health care equipment, pharmaceuticals), consumer services—food/drug retail, consumer services-general retail(e.g., home improvement retailers, apparel retailers), consumer services -media (e.g., broadcasting), consumer services-travel/leisure (e.g., airlines, hotels), telecommunications (e.g., mobile telecommunications), utilities, financials, technology (e.g., software, technology hardware), and other.
As shown in Table 1, CSR dimension was coded using five dimensions based on Dahlsrud: the environmental dimension, social dimension, economic dimension, stakeholder dimension, and voluntariness dimension [16]. Following Dahlsrud, the case was coded to each of the dimensions if it mainly dealt with: environmental concerns, the relationship between business and society, socio-economic or financial aspects including describing CSR in terms of a business operation, stakeholders or stakeholder groups such as communities or their employees, or actions not prescribed by law to demonstrate ethical values [16].
The intended outcomes of CSR programs reported by the company/organization were analyzed. Each Silver Anvil Award-winning case contains information on the case’s intended outcomes reported by the company/organization across 19 categories by PRSA. The categories include: building brands, building trust, business valuation, changing attitudes, changing behaviors, crisis management, customer satisfaction, employee morale, employee retention, event attendance, fundraising, increasing market share, increasing profits, increasing stock price, increasing value, public policy, raising awareness, raising capital and other.
To determine what types of research is conducted to understand the situation and stakeholders, we coded whether secondary research, such as situational analysis, publics analysis, and a communication audit utilizing pre-existing information, was conducted. The primary research methods used were also coded across seven categories: interviews, focus groups, case study, survey, content analysis, experiment, and other. Whether the suggested method was used or not was coded.
Targeted stakeholders were coded across three sub-categories, including the organization’s internal stakeholders, economic stakeholders, and societal stakeholders [52]. According to Chandler’s categorization, internal stakeholders included employees, directors, and executives. Economic stakeholders included customers/consumers, distributors/suppliers, investors/shareholders, competitors, and others (e.g., creditors, unions) [52]. Societal stakeholders included communities, government agencies/policymakers, media, nonprofits/NGOs, opinion leaders (e.g., influencers, bloggers, leaders), donors, and others. Across each of the categories, whether the segmented stakeholder was targeted or not was coded. In addition, the generation of stakeholders was analyzed based on six categories. The generation category included post-millennials, millennials, generation X, baby boomers, silent generation, and not specified.
The communication channels used for CSR communication were coded across two sub-categories regarding whether the channel was used: online/mobile communication channels and traditional communication channels. For online/mobile communication channels, we analyzed whether the case used platforms including Facebook, Twitter, YouTube, Instagram, social media (not specified), blog, website, email, mobile phone, and other. Traditional communication channels included TV, newspapers, magazines, radio, and traditional media (not specified).
Stakeholder engagement has five sub-categories: stakeholder role, identification of CSR focus, strategic communication task, third-party endorsement of CSR, and stakeholder digital engagement. The stakeholder engagement level was operationalized based on previous studies [29,32,53]. Stakeholders’ engagement was analyzed according to the three levels: stakeholder information approach, stakeholder response approach, and stakeholder involvement approach. In-depth discussions of the three approaches were set forth in the literature review (see Table 1).
Under the stakeholder information approach, stakeholders’ roles were described as passively receiving information from the company/organization. They may support or oppose CSR initiatives. Under the stakeholder response approach, stakeholders respond to corporate actions. Stakeholders can provide feedback by responding to surveys or focus groups. For the stakeholder involvement approach, stakeholders were actively involved and could participate and suggest corporate actions. They may co-construct CSR efforts or create CSR content together. They are considered collaborators or advocates.
For the identification of CSR focus, the stakeholder information approach indicates that CSR focus was decided by top management or the company/organization. In the stakeholder response approach, top management or the company/organization still identify the CSR focus but get feedback via opinion polls, dialogue, networks, and partnerships to gauge stakeholder responses. The involvement approach is more about co-creation of CSR topics in that it involves negotiating concurrently with stakeholders to co-create CSR values or focus.
For CSR communication, the information approach refers to a company informing stakeholders about favorable corporate CSR decisions and actions. The response approach refers to a company that demonstrates to stakeholders how the company integrates their concerns. The involvement approach indicates that a company tries to invite and establish frequent, systematic, and pro-active dialogues with stakeholders such as opinion-makers, corporate critics, and the media. This approach views communication as a sensemaking process.
For third-party endorsement of CSR initiatives, no third-party involvement or endorsement was coded as a stakeholder information approach. When a company tries to integrate an element such as surveys, ranking, and opinion polls to reflect third-party opinions from nonprofits, influencers, or experts within an industry, it was coded as a response approach. When the third-party stakeholders involved in corporate CSR messages such as content-creators or contributors, it was categorized as a stakeholder involvement approach.
Lastly, when stakeholders passively received or consumed information from the organization/company by reading or clicking the information delivered, it was coded as a stakeholder information approach for the stakeholder’s digital engagement. When stakeholders responded to corporate actions by commenting or sharing the information with other people, it was classified as a stakeholder response approach. When stakeholders actively participated and involved in online CSR communication and suggested corporate activities such as digital content-creators or contributors, it was coded as a stakeholder involvement approach. For example, if a company invited the public to submit community project proposals and made a decision based on the online poll results, the digital engagement was coded as the involvement strategy.
Intercoder ReliabilityWith a sample of 146, two coders analyzed 15 randomly selected cases, about 10 percent of the total cases for the intercoder reliability test. The intercoder reliability coefficient was calculated using Krippendorff α, and the scores ranged from 0.82 to 1 across variables tested. Krippendorff α “takes into account chance agreement and in addition the magnitude of the misses, adjusting for whether the variable is measured as nominal, ordinal, interval, or ratio” [54]. Krippendorff α is a highly useful coefficient because it supports nominal, ordinal, interval, and ratio type data and also handles missing data.
Before answering the proposed research questions, basic descriptions of the analyzed cases are presented first. A total of 146 cases were analyzed, and the cases were spread out from 2010 to 2019; 9(6.2%) in 2010, 16(11%) in 2011, 19(13%) in 2012, 15(10.3%) in 2013, 12(8.2%) in 2014, 16(11%) in 2015, 9(6.2%) in 2016, 19(13%) in 2017, 22(15.1%) in 2018, and 9(6.2%) in 2019. Companies in the healthcare industry implemented a total of 29(19.9%) of CSR cases, 28 (19.2%) were in the technology industry, followed by 14(9.6%) in the consumer goods (personal goods) industry, 12(8.2%) in the consumer goods (food/beverage) industry, and 10(5.8%) in the utility industry.
CSR DimensionsTo understand the trend of CSR award-winning cases, an analysis was conducted of CSR dimensions according to the five periods: 2010–2011, 2012–2013, 2014–2015, 2016–2017, and 2018–2019. Between 2010 and 2011, CSR cases focusing on philanthropic work (n = 7, 28%) and social issues (n = 7, 28%) were the most dominant, followed by environmental CSR cases (n = 5, 20%) and stakeholder dimension (n = 5, 20%). For 2010–2011, most CSR cases were well distributed across the four dimensions (i.e., environmental, social, stakeholder, and voluntariness), but not the economic dimension (n = 1, 4%). From 2012 to 2013, there were more cases emphasizing social dimension (n = 12, 35.3%) and voluntariness (n = 11, 32.4%), but not so much in terms of the environmental dimension (n = 2, 5.9%) or economic dimension (n = 1, 2.9%). The trend of more CSR cases on social dimensions becomes apparent over time: 42.9% (n = 12) from 2014-2015, 35.7% (n = 10) from 2016–2017, and 48.4% (n = 15) from 2018–2019. Another noticeable recent trend was an increased number of cases in the economic dimension; 4% (n = 1) from 2010-2011, 2.9% (n = 1) from 2012-2013, 10.7% (n = 3) from 2014-2015, 7.1% (n = 2) from 2016–2017, and 22.6% (n = 7) from 2018–2019. As CSR cases in the social dimension and the economic dimension have increased, cases in the environmental dimension or voluntariness dimension have decreased as seen in Table 2.
Intended OutcomesOn average, slightly more than two intended outcomes were reported per case (M = 2.44, SD = 1.79), ranging from one intended outcome to ten intended outcomes. A multiple response analysis showed that raising awareness (n = 109, 31.5%) was the most frequently reported intended outcome, followed by changing behaviors (n = 46, 13.3%), building brands (n = 38, 11%), changing attitudes (n = 37, 10.7%), employee morale (n = 15, 4.3%), profits (n = 12, 3.5%) and increased market share (n = 11, 3.2%).
Secondary Research and Primary ResearchA total of 126 (86.3%) cases completed secondary research, while 20 (13.7%) did not complete or did not specify whether they completed secondary research. While the majority of cases completed secondary research, about 20% of cases did not conduct primary research (n = 29, 19.9%). About 55.5% (n = 81) conducted one type of primary research and 29 cases (19.9%) conducted two types of primary research. A multiple response analysis was conducted to examine the trend of frequently used primary research methods. The results showed that among the primary research methods used, a survey method was the most commonly used (n = 74, 51%), followed by focus groups (n = 23, 15.9%), interviews (n = 21, 14.5%), contents analysis (n = 14, 9.7%), and case analysis (n = 10, 6.9%).
Target PublicsWhen it comes to target publics, each case has approximately three different target publics on average (M = 3.23, SD = 1.84). A multiple response analysis showed that, among a total of 472 target publics coded, 22.2% (n = 105) were consumers, 14% (n = 66) were opinion leaders, 11.2% (n = 53) were media, 10% (n = 47) were government or policymakers, 9.5% (n = 45) were employees, 8.3% (n = 39) were NGOs, and 7.4% (n = 35) were communities (Table 3). This indicates that although many cases directly target consumers as one of their target publics, many of them also attempt to reach out to potential intercessory publics such as opinion leaders and media simultaneously. The findings also suggest that among the internal publics, the employees are one primary target public.
Communication ChannelsIn terms of communication channels, approximately five different communication channels were used per case (M = 5.13, SD = 2.27), ranging from one to ten communication channels. Out of 403 reported communication channels across cases, 53.8% (n = 402) consisted of online and mobile communication channels, while 46.3% (n = 347) were traditional communication channels such as TV and newspapers. This indicates the increased usage of online and mobile communication platforms for CSR campaigns. However, when it comes to frequently used channels, TV (n = 103, 13.7%) and newspapers (n = 99, 13.2%) were the most frequently used communication channels, followed by websites (n = 86, 11.5%), Facebook (n = 75, 10%), Twitter (n = 75, 10%), and radio (n = 50, 6.7%).
In addition to the multiple response analysis, we conducted a descriptive analysis for each channel to determine how many of the 146 cases use the specific channel. Out of 146 cases, 75 (51.4%) used Facebook, 75 (51.4%) used Twitter, 19 (13%) used Instagram, 25 (17.8%) used YouTube, and 39 (26.7%) used other forms of online channels such as Pinterest, LinkedIn, and Intranet. As for traditional communication channels, out of 146 cases, 103 (70.5%) used TV, 99 (67.8%) used newspapers, 68 (46.6%) used magazines, 50 (34.2%) used radio, and 27 (18.5%) used different types of traditional media.
Stakeholder Engagement LevelsStakeholder engagement levels were coded across five different areas: Stakeholder roles, identification of CSR focus, strategic communication tasks, third party endorsement, and stakeholder digital engagement as seen in Table 4. For stakeholder roles, more than 70% of the cases took the stakeholder response approach (n = 104, 71.2%), and 21.2% (n = 31) took the involvement approach. The stakeholder information approach was about 7.5% (n = 11) of the cases. To identify CSR focus, significantly a smaller number of cases take the stakeholder involvement approach (n = 4, 2.7%). Most cases took the stakeholder responses approach (n = 124, 84.9%) followed by the information approach (n = 18, 12.3%). For the strategic communication tasks, 93 (63.7%) took the response approach, 41 (28.1%) took the stakeholder involvement approach, and 12 (8.2%) took the information approach. The trend of the stakeholder response approach’s dominance did not appear when it comes to third-party endorsement. The result showed that 42.5% (n = 62) adopted a stakeholder involvement approach, 39% (n = 57) were the response approach and 18.5% (n = 27) were the information approach. Stakeholders’ digital engagement, still the response approach, was the most frequently used approach (n = 85, 58.2%), followed by the involvement approach (n = 37, 25.3%) and information approach (n = 19, 13%).
The content analysis of PRSA Silver Anvil Award-winning CSR campaigns shows that CSR cases in the social dimension and the economic dimension have increased while cases in the environmental dimension or voluntariness dimension have decreased over time. This may reflect the emphasis on strategic CSR in recent years [52]. Strategic CSR refers to “the incorporation of a CSR perspective within a firm’s strategic planning and core operations so that the firm is managed in the interests of a broad set of stakeholders to optimize value over the medium to long term”([52], p. 241). In other words, it is when companies or organizations incorporates a CSR perspective in their culture, business operations, and strategic planning process in a way that aligns its CSR with its mission, vision, and values. It is therefore understandable that we see a general trend of growth in CSR programs that directly address social concerns about a company’s business operations and or impact on communities (i.e., a social dimension which concerns the relationship between business and society), and that can potentially contribute to its economic development (i.e., economic dimension, which brings financial, competitive advantages through CSR). The findings on this trend should be interpreted with caution given the nature of the descriptive statistics.
In terms of research (RQ 6), the majority of CSR programs completed secondary research. While about 20% did not conduct primary research, a significant number of cases still employed primary research. A survey method was the most dominantly used research method. Solely based on these results, we cannot conclude that most CSR programs have been developed based on secondary and primary research. However, we can at least cautiously interpret from the results that successful CSR programs need to include research components. Many award-winning CSR campaigns appear to be developed based on thorough formative research (secondary research and primary research). A quantitative survey method seems to provide an excellent tool in making informed decisions based on quantitative, empirical evidence.
When it comes to targeted stakeholders (RQ 7), the findings suggest that although many cases directly target consumers as one of their target publics, many of them also attempt to reach out to potential intercessory publics such as opinion leaders and media simultaneously. Intercessory publics refer to the public who can present the CSR campaign to its target publics using their influence to intercede on the company’s behalf to obtain a favor, mediate a dispute, or speak for an organization. In other words, “intercessory publics can serve as an influential bridge between an organization and its publics” ([55], p.65). Organizations should consider engaging intercessory publics in their CSR practices, given that they can play an important role in improving CSR communication and encouraging other people in their communities to participate in the CSR movement.
Opinion leaders play an important role in improving communication and encouraging group members in order to have a greater level of information exchange. Also, about a third of organizations in the sample engaged employees in their CSR communication. Employees are important stakeholders in CSR, given that they are ambassadors of the organization and represent their organization to people outside of the organization, such as consumers and communities [56]. According to a Forbes article, one of the significant global trends in 2020 is that employees are now voicing their opinion that their organizations should get involved with CSR [57]. As previous studies have suggested, CSR can be effectively implemented when employees are actively involved [58-59]. Thus, organizations committed to CSR practices should actively engage their employees to increase CSR performance.
Regarding the intended CSR outcomes (RQ 5), The findings showed that raising awareness was the most frequently reported intended outcome, followed by changing behaviors, building brands and changing attitudes. That fact that increasing awareness, changing attitudes, and changing behaviors were the most frequently reported outcomes of campaigns indicates that most of the Silver Anvil Award-winning cases were clearly aimed at campaign outcomes, not outtakes or outputs. It is essential to distinguish a program’s overall outcomes from outtakes and outputs [60–62]. Program outputs refer to what an organization puts out to target the public, such as news releases, email blasts, social media posts, and sponsored events [60,61]. These are easy metrics to collect (e.g., how many Facebook posts you create or how many people attended your social media live event). Outtakes are about what the target publics have understood and responded to, such as their reactions to the message, recall and retention of the message, and whether they responded to a call for information or specific action within the message (e.g., sharing social media links, downloads, video submissions, click likes, etc.) [62]. Outcomes are whether the communication program made meaningful, quantifiable changes in awareness, knowledge, attitude, opinion, and behavioral levels among target publics [61]. Clearly defined outcomes (such as increasing awareness, changing attitudes and behaviors) provide a clear indication of how to assess the effectiveness of a strategic plan given that outcomes analysis aims to evaluate a communication plan's ultimate results by assessing whether the target publics' awareness, knowledge, perception, beliefs, attitudes, and or behavior changes. Accordingly, clearly defined campaign outcomes are one of the desirable characteristics of the award-winning cases.
In terms of communication channels (RQ 8), television is still the most powerful medium to raise awareness of a company’s CSR program. According to a recent survey conducted by the Pew Research Center, a majority of Americans still prefer watching the news rather than reading or listening to it [63]. The Pew Research Center also found that young adults prefer the internet as their platform for getting the news. Thus, using both legacy media and digital media is a common trend in CSR communication. Social media is an essential communication channel these days. According to a recent survey conducted by the Pew Research Center, roughly 69% of adults in the U.S. use Facebook [64]. Our study also found that Twitter and Facebook were the most popular social media platforms. Although the Pew Research Center reported that only 22% of Americans use Twitter [64], it is a valuable news source for journalists [65]. Websites are also still a relevant communication channel for CSR programs, though blogs have become less utilized. Only 27 campaigns used blogs, while 86 utilized websites. As social networking sites continue to grow, blogging has dropped among teens and young adults [66], and our research has confirmed this trend.
We examined various aspects of stakeholder engagement (RQs 1–4) through a content analysis of CSR campaigns in the past ten years. According to Trapp, stakeholder engagement in CSR practices has primarily focused on merely listening to stakeholders rather than directly involving them in the decision-making process [28]. Our study also found a similar pattern. Across four areas of stakeholder engagement (i.e., stakeholder roles, identification of CSR focus, strategic communication tasks, stakeholder digital engagement), the trend of the stakeholder response approach’s dominance was apparent. When it comes to identifying CSR focus, a minimal number of cases took the stakeholder involvement approach, which indicates that even for award-winning cases, many still hesitate to co-construct the CSR focus or CSR values within the organization. Overall, however, these cases seem to be open to allowing stakeholder input and feedback (i.e., response approach).
While actively engaging stakeholders in CSR practices and co-creating CSR programs might be an ideal model for stakeholder engagement, the shared decision model might be difficult to employ in the real business world. Some people might suggest that the stakeholder involvement strategy based on the two-way symmetrical communication model is unrealistic in the practical setting. However, it can ultimately result in stronger, long-term relationships between an organization and its stakeholders [67]. The stakeholder involvement strategy may allow companies to overcome CSR skepticism through co-construct CSR efforts and proactive dialogue.
As for stakeholder digital engagement, the level of stakeholder involvement seems to be higher, at 25.3% (n = 37); however, approximately 60% still adopt the response approach even though digital communication spaces have much more potential to become an interactive, dialogic space. Another important finding related to digital engagement is that social media influencers are an increasingly prominent element of stakeholder engagement in recent years. Organizations could benefit from influencer engagement since they can share CSR stories with a large audience that follows them.
Partnerships between businesses and nonprofits may be the key to successful CSR implementation. This does not mean that there is a causal relationship between the partnership and successful CSR implementation because we did a content analysis. However, we have found that many Silver Anvil Award-winning organizations have had meaningful partnerships with civic groups, nonprofits, government departments and agencies, or other companies and small businesses. A partnership is “a commitment by a corporation or group of corporations to work with an organization from a different economic sector (public or nonprofit)” ([68], p.18). Partnerships enable corporations to engage their stakeholders and community in their CSR programs and fulfill their CSR goals. Although stakeholder response strategies are most common in other areas of engagement, the active involvement of third-party endorsers (i.e., co-creation) was observed in many CSR campaigns. As prior studies have suggested, organizations may feel more confident when working with third-party co-creators because such partnerships would bolster the credibility of their CSR programs and strengthen their CSR messages [48,49].
We examined the concept of stakeholder engagement from a CSR communication perspective in this paper through a content analysis of PRSA’s Silver Anvil Award-winning CSR campaigns. Stakeholder engagement in CSR is a communication process involving interactions between an organization and its stakeholders to achieve a CSR goal and generate mutual benefit for the community. We found that many organizations make efforts to engage their stakeholders in CSR programs in various ways to increase awareness about social issues, change stakeholder behavior, and create favorable attitudes toward the organizations. Although co-creating CSR strategies with stakeholders and making shared decisions are an ideal model for stakeholder engagement, many organizations employ stakeholder response strategies rather than stakeholder involvement strategies.
Partnerships are an important component of stakeholder engagement for successful CSR practice. Although co-creation is a crucial way to engage stakeholders in CSR programs, the early engagement in the planning process of decision making and implementation would be difficult for some organizations. Those organizations can begin by partnering with opinion leaders, then expand collaboration. Opinion leaders and influencers help spread positive and negative CSR messages to other stakeholders [69]. By working with nonprofits, opinion leaders, and social media influencers, organizations can effectively reach out to stakeholders and build relationships. Also, working with third-party partners can lower stakeholder skepticism of a company’s CSR communication [48].
It is important to communicate with stakeholders using both legacy media and digital media. Traditional media (e.g., TV, newspapers, radio) is very effective in raising awareness of a company’s CSR program. Social media is a powerful tool that can be used to generate buzz and facilitate interaction [70]. Many organizations use social media to engage their stakeholder in their CSR programs. The organizations also utilize social media as CSR campaign outcome evaluation tools. The number of followers, views, likes, shares, etc., are social media metrics frequently mentioned by these organizations. Although quantity-based measurements are an easy, simple way to assess campaign outcomes, more quality-focused measurements can also be employed to measure stakeholder digital engagement effectiveness.
Even though there are several implications of the study, it also has several limitations. The most obvious limitation is that we did not code all of the CSR campaigns. The CSR and public service programs of the past ten years, from 2010 to 2019, were sampled for content analysis. In addition, coding was conducted by using the campaign summaries provided by PRSA to its members. The summaries were completed and submitted by each organization for the award. The summaries include essential information about each campaign, such as goals and objectives, target audiences, research methods, key messages, strategies and tactics, communication tools and channels, and measurement, because they should capture judges’ attention. We admit that analyzing stakeholder engagement based on these summaries has its limitations given that the information provided is not all-inclusive.
Finally, this study also has a limitation owing to its methodology, which involved a content analysis of CSR campaigns. We admit that this study was unable to capture the public’s perceptions of or attitudes toward these organizations’ engagement in their CSR campaigns. Future studies may need to utilize other research methods to examine whether an organization’s efforts to engage stakeholders in its CSR campaigns positively influence stakeholder attitudes toward the organization and its campaign. For example, D’Acunto et al. have examined consumers’ perceptions of CSR through a text analysis of online reviews of hotel customers [71]. There need to be more studies investigating the values of co-creation of CSR from stakeholders’ perspectives. Also, scant studies have empirically tested the impact of partnerships with opinion leaders and social media influencers in CSR communication effectiveness. Future studies may examine the third-party endorsers’ impact and role in CSR communication to fill the gap.
HP and YK designed the study, conducted the content analysis, and wrote the paper. BP helped with sampling and a literature search. YK analyzed the collected data and wrote the method and result sections. HP wrote the first draft and edited the manuscript.
The authors declare that there is no conflict of interest.
1.
2.
3.
4.
5.
6.
7.
8.
9.
10.
11.
12.
13.
14.
15.
16.
17.
18.
19.
20.
21.
22.
23.
24.
25.
26.
27.
28.
29.
30.
31.
32.
33.
34.
35.
36.
37.
38.
39.
40.
41.
42.
43.
44.
45.
46.
47.
48.
49.
50.
51.
52.
53.
54.
55.
56.
57.
58.
59.
60.
61.
62.
63.
64.
65.
66.
67.
68.
69.
70.
71.
Park H, Kim Y, Popelish B. Corporate Social Responsibility and Stakeholder Engagement: A Content Analysis of PRSA Silver Anvil Award-Winning CSR Campaigns. J Sustain Res. 2021;3(13):e210015. https://doi.org/10.20900/jsr20210015

Copyright © 2021 Hapres Co., Ltd. Privacy Policy | Terms and Conditions