Location: Home >> Detail
TOTAL VIEWS
J Sustain Res. 2023;5(3):e230010. https://doi.org/10.20900/jsr20230010
1 Department of Chemistry, University of Arkansas at Little Rock, 2801 South University Avenue, Little Rock, AR 72204, USA
2 Department of Chemistry, Philander Smith University, Little Rock, AR 72202, USA
3 Center for Integrative Nanotechnology Sciences, University of Arkansas at Little Rock, 2801 South University Avenue, Little Rock, AR 72204, USA
4 Department of Chemistry and Physics, University of Arkansas at Pine Bluff, Pine Bluff, AR 71601, USA
* Correspondence: Ambar B. RanguMagar, Anindya Ghosh.
This study aims to develop a highly efficient adsorbent specifically designed to remove targeted organic pollutants, focusing on endocrine disruptors. The pollutants of interest included bisphenol S (BPS), triclosan (TCS), and 2,4,6-trichlorophenol (TCP), which are commonly found in aqueous solutions. The surface of nanocellulose (NC) was modified with poly-β-cyclodextrin (p-βCD) using epichlorohydrin as a cross-linker. The modified NC-p-βCD adsorbent exhibited remarkable adsorption performance due to the inclusion properties of β-cyclodextrin (βCD) and the advantages of NC. Comprehensive characterization techniques, including Fourier Transform Infrared Spectroscopy (FTIR), Nuclear Magnetic Resonance (NMR) Spectroscopy, Scanning Electron Microscopy (SEM), Thermogravimetric Analysis (TGA), and Energy Dispersive X-ray Spectroscopy (EDS) confirmed the successful modification and provided insights into the structural features of p-βCD and NC-p-βCD. The percentage removal of the target pollutants was quantified using UV-visible spectroscopy, and their adsorption kinetics were studied. The NC-p-βCD demonstrated impressive removal efficiencies with maximum cumulative percentages of 28% for BPS, 74% for TCS, and 58% for TCP. The adsorption process followed Langmuir adsorption kinetics, suggesting monolayer adsorption on a homogeneous surface. This study presents a promising adsorbent by modifying NC with p-βCD to remove organic pollutants effectively. The findings contribute to developing sustainable water treatment methods using NC-based adsorbents.
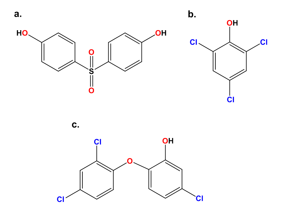
Water, an indispensable component of life [1], faces a significant challenge of pollution caused by various harmful and toxic contaminants due to their inappropriate disposal [2,3]. The presence of these contaminants in water has raised serious concerns due to their detrimental impact on human health and the environment [4,5]. These contaminants can be broadly classified as organic and inorganic impurities [6,7]. The organic pollutants commonly found in water include dyes, pharmaceuticals, phenolic compounds, surfactants, pesticides, and petroleum, while inorganic contaminants comprise arsenic, fluorides, and heavy metals [8,9]. Exposure to certain organic pollutants such as bisphenol S (BPS), bisphenol A (BPA), triclosan (TCS), and chlorinated phenols such as 2,4,6-trichlorophenol (TCP) (Figure 1) can lead to various health problems, including breast cancer, kidney damage, and endocrine disruptions [10,11]. Particularly, endocrine-disrupting chemicals have posed a serious threat to us and other living objects in nature. Endocrine-disrupting chemicals mimic, function, and block any hormones in living systems, disrupting the natural processes of the endocrine systems [12]. Such disruptions may cause serious health issues and abnormalities in vertebrates, including humans [13]. Endocrine-disrupting chemicals can be either synthetic or natural compounds [14]. Over 1000 chemicals are known to us as endocrine-disrupting chemicals [15]. This manuscript deals with a simple removal technique for some endocrine-disrupting chemicals.
BPS is predominantly present in the modern world in the form of plastics [16]. It has been detected in various aquatic bodies like rivers, lakes, and oceans [16]. Notably, studies have reported maximum BPS concentrations of 0.14 µg/L in the Pearl River (China) and 7.2 µg/L in Indian Rivers in 2016 [17,18]. Furthermore, BPS has even been identified in pristine environments like the Arctic [19].
BPS is an epoxy resin compound containing two hydroxyphenyl groups [20]. It is commonly employed in various applications such as packaging for baby formula, baby bottles, dental implants, personal care products (e.g., makeup, lotion, toothpaste), and meat products, owing to its heat tolerance and high photo-resistance [21–24]. However, despite its numerous advantages, BPS can give rise to severe health issues, including endocrine disruption, upon exposure to the human body [25]. Exposure to BPS can occur through microwaving food, and if the monolayer of plastic is decomposed by chemicals or other means, food can become contaminated by BPS [26]. Additionally, bisphenol polymers, including BPS, can enter the body through water [27,28]. Notably, BPS has been detected in urine samples of approximately 81% of Asian and American individuals, with an average concentration of 2.6 nM [29].
Research shows that BPS changes the aromatase expression of the estrogen pathway due to its ability to mimic this hormone and interact with specific receptors, including estrogen, androgen, and serum proteins [30]. Furthermore, an in vivo study has demonstrated that BPS can induce adverse effects such as reproductive dysfunction at low doses and even depressive symptoms at high doses [31]. Additionally, evidence suggests that BPS can impact the nervous system [32] and contribute to various health issues, including breast cancer, metabolic disorders, DNA damage, and cardiovascular diseases [33–35]. Given these concerns, the removal of BPS from water sources is of utmost importance. Filtration has been identified as one of the simplest and most effective methods for eliminating BPS from water [36].
Another notable endocrine-disrupting chemical is TCS, previously used as an antimicrobial agent in manufacturing soaps, detergents, cosmetics, textiles, toothpaste, and food packaging [37]. However, exposure to TCS can be toxic to humans, leading to potential endocrine disruption, cancer, and thyroid disease [38]. As a result of its adverse effects, the Food and Drug Administration (FDA) decided to prohibit the use of TCS in soap products in 2016. However, it is still permitted for use in toothpaste and mouthwash [38].
Various methods commonly employed to remove TCS include ozonation, oxidation, adsorption, and membrane separation [39]. Several previous research has already been conducted in this area [40] to remove TCS. For instance, Kong et al. utilized polymer-functionalized magnetic iron oxides in the adsorption method to remove TCS from wastewater [41]. However, this method has been associated with relatively high costs [41]. Consequently, there is a need for an alternative approach, and one promising candidate is NC-p-βCD, which offers the advantages of being low in cost and easy to prepare.
TCP, also known as 2,4,6-trichlorophenol, is a prevalent phenolic pollutant characterized by the presence of three chlorine atoms attached to the phenolic ring at positions 2, 4, and 6 [41]. It is commonly encountered in industrial wastewater originating from diverse sectors such as coke, petroleum, pesticide, insecticide, pharmaceuticals, paper, and food industries [42]. Due to its high toxicity to humans and aquatic life, even at low concentrations, TCP poses a significant risk, potentially leading to carcinogenic and mutagenic diseases [43]. Consequently, the removal of TCP is of utmost importance, and various methods are commonly employed for this purpose, including photocatalytic degradation, microbial degradation, oxidation, ion exchange, and filtration [42]. Among these methods, filtration, specifically adsorption, has proven to be one of the most effective techniques for removing TCP [42]. Activated carbon is widely used as an adsorbent for TCP removal in granular and powdered forms. However, it should be noted that activated carbon can be expensive [44].
Prior research indicates that adsorbent materials, namely nano-zeolite, biochar, and activated carbon, have demonstrated effective utility in eliminating BPS, TCS, and TCP, respectively. Nonetheless, these materials exhibit certain limitations, as outlined in Table 1.
Table 1. Various adsorbent materials for phenolic impurity removal using adsorption techniques and their drawbacks.
In this work, poly-β-cyclodextrin (p-βCD) was prepared by polymerization of β-cyclodextrin (βCD) and modified with nanocellulose (NC). The resulting modified polymer (NC-p-βCD) was characterized by different characterization techniques such as FTIR spectroscopy, NMR Spectroscopy, SEM, TGA, and EDS. The schematic diagram for the modification of NC with p-βCD is shown in Figure 2.
The modified nanocellulose (NC-p-βCD) served as a filtration matrix for the removal of organic pollutants due to its high adsorbent capacity, small size, and specific surface area expansions. This is complemented by the inherent benefits of nanocellulose, encompassing eco-friendliness, easy modification and functionalization, renewability, thermal resilience, and cost-effectiveness [52–54]. The adsorption process is based on the concept that BPS, TCS, and TCP all are hydrophobic, and the inside ring of p-βCD is also hydrophobic so that these impurities can be entrapped inside p-βCD [55–57]. Its efficacy in water purification was determined mainly by filtering organic pollutants such as BPS, TCS, and TCP by varying the amount of adsorbents and pH. The percentage of cumulative impurities removal was increased with an increase in pH and amount of NC-p-βCD due to higher interactions between the impurities and adsorbents. To our current understanding, this marks the initial instance in which we have successfully created a biocompatible adsorbent matrix (NC-p-βCD) through covalent bonding and employed it to effectively eliminate endocrine disruptors such as BPS, TCS, and TCP.
All reagents and solvents were obtained from commercial suppliers and used without further purification. Acetone ≥ 99.5%, absolute ethanol ≥ 99.9%, and isopropanol ≥ 99.5% were purchased from VWR BDH chemicals. β-cyclodextrin ≥ 97.0%, deionized water, epichlorohydrin (EPH) ≥ 99.0%, toluene ≥ 99.8%, sodium hydroxide (NaOH), hydrochloric acid (HCl), BPS ≥ 98.0%, TCS ≥ 99.0%, and TCP ≥ 97.0%, were obtained from Sigma-Aldrich, USA. NC was obtained from Blue Goose Biorefineries Inc., Canada. Nitrogen (N2) gas cylinders were obtained from Airgas company.
Synthesis of Water-Soluble β-Cyclodextrin PolymerThis synthesis was performed using the literature method [58] with slight modifications. Briefly, about 2 g of βCD was dissolved in 5 mL of 15% aqueous NaOH solution at 35 °C by stirring for 2 h. To the alkaline solution of βCD, 2 mL of toluene was added with constant stirring, and the mixture was kept at the same temperature for 2 h. Next, 5 mol% of EPH (3.92 mL) was added to the mixture and kept for stirring for an additional 3 h. The resulting precipitate was neutralized to pH 7 by adding 2 M HCl solution dropwise. Once the reaction was complete, the solution was precipitated in isopropanol, and the solid was collected by filtration. The collected solid was dried in a freeze dryer, resulting in a powder form 1.92 g of p-βCD.
Modification of Nanocellulose with p-β-CyclodextrinFirst, 20 mL of 8% NC was dissolved in 30 mL of distilled water (equivalent to 1.6 g of NC) in a round-bottom flask. The pH of the solution was adjusted to 9.5 by adding a 0.1 M NaOH solution. As a precaution, the mixture was purged with N2 gas slowly. Subsequently, two equivalents of EPH (1.5 mL) were added, and the temperature was maintained at 50 °C for a duration of 2 h. After that, 1.6 g of p-βCD was introduced into the reaction mixture, which was then stirred overnight. On the following day, the mixture underwent thorough washing with a copious amount of isopropanol, followed by drying in a freeze dryer, producing a powder form of 2.05 g of NC-p-βCD.
Characterizations of MaterialsThe NC, p-βCD, and NC-p-βCD were characterized by different spectroscopic and microscopic techniques such as FTIR Spectroscopy, NMR Spectroscopy, TGA, SEM, and EDS. The FTIR spectroscopy of the sample was conducted using a Nicolet 6700 Thermo-Scientific FTIR spectrometer equipped with a DLaTGS detector and an XT-KBr beam splitter. The spectra were recorded in the range of 400–4000 cm−1. The NMR spectroscopy was performed using a JEOL ECS-type nuclear magnetic resonance spectrometer with a frequency of 400 MHz. The weight loss of the NC and NC-p-βCD compounds at different temperatures was measured using the TGA technique. The TGA analysis was successfully carried out using the Mettler Toledo thermogravimetric analyzer TGA/DSC3+. The surface morphology of the dried NC and NC-p-βCD samples was examined using a JEOL scanning electron microscope (JSM 7000F) combined with an EDS system. The SEM images were captured at different magnifications to study the surface morphology of these samples. Furthermore, the concentrations of impurities were determined using a Perkin Elmer Inc. double-beam UV-Visible spectrophotometer covering the wavelength range of 200 to 700 nm.
Adsorption Techniques and CharacterizationsBPS, TCS, and TCP solutions were prepared at various pH levels ranging from 2 to 10. These solutions were individually passed through 100 milligrams (mg) of NC (control) and NC-p-βCD samples to determine the percentage (%) removal of these impurities. The adsorption of impurities was measured using UV-visible spectroscopy techniques. Additionally, the solutions were passed through varying amounts of adsorbent material (10 to 100 mg), and kinetic studies were conducted. Furthermore, to evaluate the recyclability of the NC-p-βCD adsorbent, a test was performed over four consecutive cycles. In each cycle, a freshly prepared 4 mL of 10−4 M concentration of BPS at pH 8.5 was passed through 100 mg of the adsorbent. After each cycle, the adsorbent was thoroughly washed three times using deionized (DI) water, and the sample was dried before introducing another 4 mL of 10−4 M BPS solution for the subsequent cycle. This procedure allowed for effectively assessing the adsorbent’s capability to remove BPS in a repeated usage scenario.
In this study, the characterization of βCD and p-βCD was performed using FTIR and NMR spectroscopy. Supplementary Figure S1 in the Supporting Information displays the FTIR spectra of βCD and p-βCD. The FTIR spectrum of βCD exhibits a broad peak at 3300 cm−1 corresponding to hydroxyl (-OH) stretching and a prominent peak at 2920 cm−1 attributed to C-H (symmetric and asymmetric stretching vibrations) bonds within the molecule. The presence of adsorbed water in βCD is indicated by the peak at 1640 cm−1, corresponding to H-OH deformation. The peaks observed at 1150 cm−1 and 1020 cm−1 also represent the C-H overtone and C-O stretching frequencies, respectively. The peak at 1150 cm−1 also signifies the C-O-C vibration. These peaks align with values reported in the literature [59,60]. Following the polymerization of βCD, a slight shift in peaks is observed, but no new peaks emerge, as p-βCD and βCD share similar functional groups. The shift from 2920 cm−1 to 2930 cm−1 is attributed to overlapping C-H peaks from EPH with βCD.
Supplementary Figure S2 (Supporting information) presents the 1H-NMR spectroscopy of p-βCD in deuterium oxide (D2O) solvent. The 1H-NMR spectrum of p-βCD exhibits six distinct peaks ranging from 1.1 ppm to 4.9 ppm. These peaks include a singlet at 4.9 ppm, a doublet at 3.5 ppm, another at 3.4, and a doublet at 1.1 ppm, corresponding to different proton environments of p-βCD indicated in Supplementary Figure S2. Additionally, there are peaks at 3.7 ppm (singlet) and 3.8 ppm (triplet), which originate from the epichlorohydrin group. The observed peaks align perfectly with the different proton environments of p-βCD, confirming the polymerization of βCD through epichlorohydrin as a cross-linker [59].
Supplementary Figure S3 in the Supporting Information illustrates the FTIR spectroscopy analysis of NC and p-βCD-modified NC (NC-p-βCD). In the FTIR spectrum of NC, a broad peak at 3340 cm−1 corresponds to hydroxyl (-OH) stretching, while the intense peak at 2910 cm−1 represents C-H stretching vibrations within the molecule. The H-OH deformation peak at 1620 cm−1 in both NC and NC-p-βCD persists after synthesis due to water molecule physisorption on the surfaces. The peak at 1160 cm−1 in NC-p-βCD also signifies the C-O-C vibration. These peaks align with values reported in the literature [61]. Additionally, new peaks resembling those associated with p-βCD, as described in the previous section, are observed, confirming the modification of NC with p-βCD.
Furthermore, the TGA technique was employed to study the weight loss of NC and NC-p-βCD samples at different temperature ranges, as depicted in Figure 3. The weight loss analysis revealed an initial weight loss of approximately 10% in NC and NC-p-βCD samples at temperatures ranging from 25 °C to 225 °C, primarily attributed to moisture loss. Subsequently, a weight loss of around 65% occurred from 225 °C to 320 °C, which can be attributed to hemiacetal loss [62]. The total weight loss reached 98% at 495 °C, resulting from the decomposition of the polymer backbone as well as loss of moisture and hemiacetal. However, the NC-p-βCD sample exhibited enhanced thermal stability, with a similar weight loss occurring at a higher temperature of 672 °C, indicating the positive effect of p-βCD modification on thermal stability.
The surface morphology and elemental composition of NC and NC-p-βCD were further characterized by SEM and EDS. Figure 4 illustrates the SEM images of NC and NC-p-βCD, revealing a notable difference in their surface morphology. As depicted in Figure 4a, NC displayed a more agglomerated structure than NC-p-βCD (Figure 4b). Conversely, the SEM image of NC-p-βCD (Figure 4b) displayed a porous and cleaner structure with petal-like fragments, indicating the structural changes resulting from the modification of NC with p-βCD.
EDS analysis offers valuable insights into the covalent modification of NC with p-βCD. Supplementary Figure S4 in the Supplementary Information displays the EDS analysis results for NC and NC-p-βCD. The analysis reveals that NC comprises 39.5% carbon and 58.7% oxygen. Following the modification of NC with p-βCD, the carbon and oxygen content in NC-p-βCD were measured to be 37.5% and 57.6%, respectively. The difference in percentage can be attributed to the modification process from NC to NC-p-βCD. Importantly, the variation in the C/O ratios falls within the standard errors of the EDS measurements for these samples, further supporting the reliability of the analysis.
After synthesizing the materials, we evaluated the effectiveness of NC-p-βCD in removing BPS, TCS, and TCP. These impurities are hydrophobic and known to pose significant health risks, including endocrine disruption. By incorporating p-βCD into NC, we took advantage of the hydrophobic internal cavity of βCD, enabling the entrapment of these impurities within the hydrophobic p-βCD ring of NC-p-βCD [63]. Moreover, NC offers several advantages, such as a large surface area and numerous hydroxyl groups capable of forming hydrogen bonds [64]. These properties facilitate the adsorption and removal of pollutants by enabling hydrogen bonding on the surface of NC [65]. Additionally, NC is readily available and cost-effective, making it an ideal candidate for developing economically viable filtration materials for pollutant removal [64].
UV-visible spectroscopy was employed to determine the concentration of BPS before and after adsorption onto the adsorbents. Initially, the molar absorptivity coefficient of BPS was calculated by plotting the maximum absorbance against various BPS concentrations, as depicted in Supplementary Figure S5 (Supplementary Information). The calculated molar absorptivity coefficient was determined to be 2550 ± 102 M−1cm−1 at 279 nm.
Figure 5a presents the UV-visible spectra of a 10−4 M BPS solution and the spectra obtained after passing 4 mL of the same BPS solution through a filtration plug comprising 100 mg of NC and NC-p-βCD respectively, at pH 9. The maximum absorbance of BPS was observed at 268 nm. However, upon passing through the samples, the λmax shifted to 277 nm, and the absorbance decreased from 1.7 to 0.7 when using only NC as the filtration matrix. Notably, the adsorption dramatically dropped to 0.35 when NC-p-βCD was utilized as the filtration matrix. These results indicate that both NC and NC-p-βCD effectively remove BPS, with NC-p-βCD demonstrating superior adsorption capabilities compared to NC alone.
Figure 5. (a) UV-visible spectroscopy showing the concentration BPS before passing through the adsorbent (blue line) and after passing through 100 mg of each adsorbent NC (orange line) and NC-p-βCD (light green line) separately. Percentage (%) removal of (b) 4 mL 10−4 M BPS, (c) 2 mL of 2 × 10−3 M TCS, and (d) 2 mL of 2 × 10−3 M TCP using 100 mg of NC-pβCD adsorbent at different pHs.
The influence of pH on the adsorption properties was further investigated, considering the presence of different functional groups in wastewater impurities. Notably, BPS contains ionizable phenolic groups, highlighting the significance of pH in understanding the adsorption behavior of BPS and other pollutants on NC-p-βCD. Figure 5b illustrates the removal percentage of BPS (10−4 M) across a pH range of 2–10. The experiment was conducted using 100 mg of NC and NC-p-βCD adsorbents separately at various pH levels.
At low pH values, the adsorption of BPS was minimal, with only 6.7% adsorption at pH 2. Notably, NC exhibited negligible adsorption at this pH. However, at pH 4.3, NC-p-βCD demonstrated 27% adsorption, while no significant adsorption was observed using NC alone. This observation suggests that BPS adsorption occurs through host-guest interactions at this pH. As the pH increased to 8.6, the adsorption of BPS by NC-p-βCD reached 28% but decreased to 19% at pH 9.6. NC also exhibited some adsorption at pH 8.6 and 9.6, albeit at a lower percentage. The decrease in adsorption capacity of NC-p-βCD at pH 9.6 can be attributed to the deprotonation of the phenolic group of BPS, which occurs at the pKa value of BPS (7.42–8.3) [66]. Deprotonation of BPS leads to negative charges on the surface if pH is greater than pKa, resulting in reduced adsorption via host-guest interactions. The maximum removal percentages of BPS on NC-p-βCD and NC were found to be 9.2% and 28%, respectively, at pH 8.6.
We conducted additional tests to evaluate the removal efficiency of TCS and TCP using the NC-p-βCD adsorbent. Figure 5c illustrates the percentage removal of 10−3 M TCS at pH values ranging from 2 to 10, using 100 mg of control (NC) and sample (NC-p-βCD) separately. The plot reveals a similar adsorption trend for TCS as observed for BPS. The adsorption of TCS increased with an elevation in pH. Considering the pKa value of TCS (7.9–8.1) [67], deprotonation occurs when pH exceeds the pKa value. This leads to enhanced ion-ion interactions in addition to hydrophobic interactions, resulting in increased adsorption.
Similarly, Figure 5d displays the percentage removal of TCP at different pH levels using 100 mg of control (NC) and sample (NC-p-βCD). The graph demonstrates that adsorption also increased with rising pH, resembling the behavior observed for TCS removal. The pKa value of TCP is 6.3, and an increase in pH promotes ion-ion interactions between TCP and NC-p-βCD [68]. The maximum percentage removal of TCP was achieved at pH 9 (58%) using NC-p-βCD, compared to 39% with NC alone. This indicates that NC-p-βCD is effective in removing chlorinated phenols as well.
To investigate the kinetics of the adsorption process, we examined the adsorption of BPS by passing a 10−3 M solution (pH 9.0) through NC-p-βCD with varying amounts ranging from 10 to 50 mg. The percentage removal of BPS corresponding to different amounts of adsorbent material is presented in Figure 6a. Initially, the adsorption of BPS was limited, but it gradually increased linearly as the quantity of adsorbent material was increased.
We conducted further investigations on the adsorption of TCS by passing a 2 mL solution of 2 × 10−3 M TCS at pH 8.5 through different quantities of NC-p-βCD samples, ranging from 10 to 100 mg. The resulting percentage removal of TCS was plotted against the amount of NC-p-βCD, as illustrated in Figure 6b.
Similarly, the adsorption of TCP was examined by passing a 2 mL solution of 2 × 10−3 M TCP (pH 8.5) through varying amounts of NC-p-βCD samples, ranging from 10 to 100 mg. Initially, the adsorption of TCP was relatively low, but it increased proportionally with the quantity of adsorbent material, as shown in the corresponding graph depicted in Figure 6c. Notably, the maximum percentage (%) removal of TCP reached 58% when passed through 100 mg of NC-pβCD.
The kinetics of impurity removal from NC-p-βCD were investigated by analyzing both Freundlich and Langmuir adsorption kinetics plots. The Freundlich adsorption kinetics were examined using the equation [69]:

In this equation, qe represents the amount of solute adsorbed per unit adsorbent, Kf is the Freundlich constant, 1/n is the measure of the intensity of adsorption, and Ce is the equilibrium concentration of adsorbate.
To assess the Freundlich adsorption kinetics of BPS, TCS, and TCP removal, a plot of log qe against log Ce was generated, as depicted in Supplementary Figure S6 (Supplementary Information). However, no linear relationship was observed, indicating that the removal of these impurities did not follow Freundlich’s adsorption kinetics [68].
On the other hand, the Langmuir adsorption kinetics were investigated using the following equation (ii) [70].

In this equation, b represents the Langmuir adsorption constant, qo is the maximum adsorption capacity, qe is the amount of adsorbate adsorbed on the surface of the adsorbent at equilibrium, and Ce represents the equilibrium concentration of adsorbate.
Figure 7a illustrates the plot of 1/qe against 1/Ce for BPS adsorption on the surface of NC-p-βCD per unit mass at equilibrium (mg/g) [69]. A linear relationship was observed, indicating that the amount of BPS adsorbed depends on the quantity of adsorbent used. This finding supports the conclusion that the adsorption of BPS on NC-p-βCD follows Langmuir adsorption kinetics [68].
The Langmuir adsorption kinetics of TCS at pH 8.5 using the NC-p-βCD adsorbent were investigated by plotting 1/qe against 1/Ce, as illustrated in Figure 7b. The obtained linear plot suggests that the adsorption of TCS on NC-p-βCD followed Langmuir adsorption kinetics [71]. Similarly, the adsorption kinetics of 2 × 10−3 M TCP from the NC-p-βCD adsorbent were studied using Langmuir adsorption kinetics plots, and it also exhibited Langmuir adsorption kinetics, as depicted in Figure 7c.
The recyclability of the NC-p-βCD adsorbent was evaluated to assess its adsorption efficacy. The recyclability test was conducted using 100 mg of NC-p-βCD adsorbent for four different cycles, and the results are presented in Supplementary Figure S7 (Supplementary Information). Initially, the percentage (%) removal of BPS was high, approximately 30% in the first cycle. However, it gradually decreased to 23%, 21%, and 15% in the second, third, and fourth cycles.
The manuscript presents a successful synthesis and application of a hydrogel material, NC-p-βCD,. The synthesis was verified using various spectroscopic and microscopic techniques, including FTI/R, NMR, TGA, SEM, and EDS. The study investigated the efficacy of NC-p-βCD in removing endocrine disruptors (BPS, TCS, and TCP) from aquation solutions at different pH levels. Enhanced removal was observed at higher pH values due to increased interaction between the impurities and the adsorbent surface. Notably, while the control sample (NC) showed no removal of BPS at acidic pH (2.3 and 4.3), NC-p-βCD exhibited effective removal even at low pH. Adsorption kinetics followed Langmuir plots, suggesting monolayer adsorption. Adsorption efficiency was calculated by determining the adsorbed pollutant amount (in mg) per unit milligram of adsorbent. This manuscript showcases the potential of the NC-based hydrogel material, particularly NC-p-βCD, for the efficient removal of hydrophobic pollutants. The findings shed light on the pH-dependent adsorption process and offer valuable insights into the kinetics and efficiency of the modified material. These results contribute to the development of environmentally friendly approaches for water pollution remediation. Moving forward, our research endeavors will encompass the broader objective of employing synthesized NC-pβCD materials to eliminate a wider array of impurities. Additionally, we intend to assess the suitability of these materials for biomedical purposes, such as their potential applications in wound healing and tissue engineering.
The following supplementary materials are available online at https://doi.org/10.20900/jsr20230010. Supplementary Figure S1: FTIR spectroscopy of βCD and p-βCD samples. Supplementary Figure S2: 1H-NMR spectroscopy of p-βCD sample. Supplementary Figure S3: FTIR spectroscopy of NC and NC-p-βCD adsorbents. Supplementary Figure S4: EDS analysis of (a) NC and (b) NC-pβCD adsorbents. Supplementary Figure S5: Absorbance vs concentration plot of BPS for molar extinction coefficient determination. Supplementary Figure S6: Freundlich adsorption kinetics of (a) 10−3 M BPS (b) 2 × 10−3 M TCS, and (c) 2 × 10−3 M TCP removal using 100 mg of NC-pβCD adsorbent. Supplementary Figure S7: Reusability test of NC-p-βCD adsorbent for the removal of 10−4 M BPS solution.
All data generated from the study are available in the manuscript or in the supplementary data.
HP, ABR, SEB, AG (Ahona Ghosh), and FW contributed to the experimental work and data interpretation. AG (Anindya Ghosh) conceived the study and experimental design. HP, ABR, and AG (Anindya Ghosh) were involved in the experimental design and manuscript writing. All authors critically reviewed and approved the final version of the manuscript.
The authors declare no competing financial interest. The authors declare no conflicts of interest. The authors are responsible for the content and writing of this article.
Anindya Ghosh gratefully acknowledges the financial assistance provided by the AR INBRE grant number GR013696, National Institute of General Medical Sciences (NIGMS) grant number 2P20GM103429-19, and the National Science Foundation Grant No. 2223984 to support this research.
1.
2.
3.
4.
5.
6.
7.
8.
9.
10.
11.
12.
13.
14.
15.
16.
17.
18.
19.
20.
21.
22.
23.
24.
25.
26.
27.
28.
29.
30.
31.
32.
33.
34.
35.
36.
37.
38.
39.
40.
41.
42.
43.
44.
45.
46.
47.
48.
49.
50.
51.
52.
53.
54.
55.
56.
57.
58.
59.
60.
61.
62.
63.
64.
65.
66.
67.
68.
69.
70.
71.
Poudel H, RanguMagar AB, Ghosh A, Bourdo SE, Watanabe F, Wang D, et al. Poly-β-Cyclodextrin Functionalized Nanocellulose for Efficient Removal of Endocrine Disrupting Chemicals. J Sustain Res. 2023;5(3):e230010. https://doi.org/10.20900/jsr20230010

Copyright © 2023 Hapres Co., Ltd. Privacy Policy | Terms and Conditions