Sign in Register Submit Manuscript

Hapres Home

Location: Home >> Detail

J Sustain Res. 2025;7(1):e250005. https://doi.org/10.20900/jsr20250005

Article

Characterization of the Feeding Behavior of Pure Duroc Pigs

Pau Fonseca i Casas 1 , Carlo Godoy Olivares 2 , Carles Cristòfol Adell 2 , Margarita Arboix Arzó 2 , Bhumika Patel 1,*

1 Department of Statistics and Operations Research, Universitat Politècnica de Catalunya—BarcelonaTech (Polytechnic University of Catalonia), Barcelona 08034, Spain

2 Department of Pharmacology, Therapeutics and Toxicology, Autonomous University of Barcelona, Bellaterra 08193, Spain;

* Correspondence: Bhumika Patel.

Received: 06 February 2024; Accepted: 31 December 2024; Published: 16 January 2025

ABSTRACT

Exploring and forecasting farm animal feeding behaviors yields valuable insights into nutritional needs and medication dosages, such as antibiotics administered to livestock. Utilizing mathematical models, we can simulate the pharmacokinetic profile of drugs within a swine population. This simulation aids in preventing treatment failures and mitigating adverse environmental and health impacts, while also enhancing the efficiency of resource usage (energy and water) on farms. Our research focused on constructing a model that accurately depicts the feeding habits of purebred Duroc pigs. Data captured by automated feeders provided detailed records of feed consumption and visitation timings for pigs identified with ear chips. Through statistical analysis of these feeding patterns, we derived a deeper understanding of animal behavior, informed by empirical data from pig farms in Catalonia.

KEYWORDS: feeding patterns; circadian rhythms; Pure Duroc pigs; automatic feeding

INTRODUCTION

Numerous factors contribute to animal feeding behavior, particularly in communal environments such as farms. These factors include the quantity and quality of feed provided, the design of feeding structures, competition among individuals, individual animal behavior, and physiological factors. In healthy animals, competition within feeding areas is the primary determinant of uneven and irregular feed consumption patterns. The animals’ feeding patterns can be re-created if a statistical characterization of this behavior exists, the importance of the circadian rhythms on the daily feeding patterns of pigs [1]. The model of feeding patterns supports the decision system [2]. More factors are discussed like Voluntary Feed Intake (VFI) to optimize the dietary factors, like group size, space, and temperatures were also analyzed [3].

There is a relationship between food consumption patterns and overall dynamics of medication absorption. Numerous scholarly investigations have focused only on this issue, examining the physiological traits of various pig races or the hierarchical dominance patterns between various pig populations. In veterinary population pharmacokinetics, tissue drug depletion and drug residues in production animals are studied, and withdrawal periods are established based on the clinical or production circumstances of groups or individuals [4]. A pharmacokinetic model should be used to examine the differences between oxytetracycline (OTC) and chlortetracycline (CTC), as well as the impact of day/night fluctuations in medicated feed intake on variations in the concentrations of both drugs in the plasma and tissue, and the overall effectiveness of meta-phylactic strategies for bacterial respiratory disease in growing pigs [5]. Expanding the use of the methodology to seek an understanding of the factors that influence the dose-response relationship. This will allow for a more efficient and rational drug development program [6]. It is important to note that particle size significantly influences pig performance. An optimal size range fall between 500 and 1600 μm [7]. Focused on this, [8] examines the factors that drive the feeding behavior of a group of pigs housed together on a farm. The data collected from this survey will be instrumental in developing a model of pig behavior [8]. The analysis of the feeding patterns is proposed using HF RFID [9]. The monitoring and modeling of the drinking behavior provides insights regarding the condition of the young pigs [10,11] and a depth sensor is used to analyze the mass estimation of growing pigs [12]. The idea of optimizing the feeding systems presents an approach based on Monte Carlo simulation that aims to face the correct dose for a neonate, infant, or child to treat an infection [13].

In the present study, we are focused on the analysis and the definition of a model to represent the feeding behavior of the Pure Duroc pigs in the Catalonia area. Data cleaning and statistical analysis were carried out using the R statistical programming language. The graphs included in this document were generated using R.

EXPERIMENTAL DATA

The data was collected from an experimental farm, IRTA, Monells de la selva, Catalonia. On IRTA, at the experimental barn ventilation and temperature were mechanically controlled. Each pen measured 3.7 m × 3.6 m, had a partly slatted floor (comprising 60% solid concrete and 40% slatted) and had one drinking bowl. Each pen was equipped with an IVOGAR station (INSENTEC, Marknesse, from The Netherlands). The feeding station consisted of a single-space feed hopper with a trough that weighed the feed continuously and had an electronic identification system that was activated by ear responders as pigs entered the station. The feeding station was connected by a load cell to a computer and the trough was refilled if the amount of feed left after a completed pig visit was 10 kg. Each time a pig visited the feeder, the time, the pig identification number, and weight of the feed at the beginning and at the end of the visit were recorded automatically (i.e., all feed in the feeding trough at the beginning and the end of each visit was weighed and consumption was calculated as the difference). Feed consumption per visit was calculated with an accuracy of 10 g. To enable competition for feed, the entrance of the hopper was always open. All pigs were fed the same commercial diet (14.08 MJ DE/kg, 179 g crude protein/kg, 70 g crude fat/kg, 19.5 g lysine/kg, 65.5 g ash/kg). Bodyweight was recorded using a cage with a scale (MBWA100 Meier-Brakenberg; GmbH&Co, Germany). In addition, backfat thickness (BT) and loin-muscle depth (LD) were also recorded ultrasonically every 3 weeks using the portable equipment PIGLOG 105 version 3.1 (SFKTehcnology, SÃborg, Denmark).

Pure male Duroc pigs were used for the experiment. Our analysis is done through the experimental data acquired from the devices, the weights, and the intake. Weight data was collected between January and March 2009. Feeding data was collected from December 2008 to April 2009. The experiment involved 24 groups of pigs, each group consisting of 11 to 21 individuals. Each group was housed in individual boxes, with only one pig allowed access to the feeding trough at any given time.

MATERIAL AND METHODS

The farm-automated feeding devices are used to obtain the experimental data because the devices are automatic, and there is limited manual control over the data quality. As an example, the instrumental measurements, obtained from the devices, do not capture, information related to the addition of new feed while the animal is occupying the trough. Also, the erratic animal’s movement near the device may yield noisy signals that must be also analyzed and filtered; while the device can accurately record the identity of the animal currently occupying the feeding space, it cannot capture instances of animals fighting or engaging in aggressive behavior to gain access to the feeding area.

The experimental data exhibits two primary characteristics: high-resolution time series data at the second level, extending over several months, and a sufficiently large sample size due to the number of boxes and animals. Nevertheless, the data is limited in scope, as it solely comprises information derived from automated device recordings. The social hierarchy among animals, inferred from observed aggressive interactions, may not be fully captured by the data. This is because fights can occur in contexts other than competition for the feeding trough, making the observation of group hierarchy a challenging task [8].

The behavior of the animals and their interactions must be inferred from the data through the identification and quantification of relevant variables that influence feeding patterns. The data must be defined, modeled, filtered, and cleaned to extract meaningful variables.

Data Description

The experimental data consists of detailed time series data on animal feed intake. For each feeding event, the following information is recorded: (i) Timestamp: The exact time of the animal’s entry and exit from the feeding trough. (ii) Animal ID: The unique identifier of the animal, obtained from the electronic chip. (iii) Feed Quantity: The amount of feed available in the trough at the time of entry and exit. In addition to the feeding data, weight data for a subset of animals was collected at three different time points.

Each Pure Duroc pig in the study is equipped with an electronic chip that provides a unique identification number. These pigs are primarily housed in specific boxes, sharing space with other pigs. However, 15 pigs were relocated to different boxes during the experiment. It is important to note that each pig underwent only one relocation. There are a total of 24 boxes, numbered from 2 to 26. On average, each box houses approximately 13 pigs. While the total number of pigs in the study is approximately 312, data is available for only 291 pigs due to factors such as replacements and missing chips. Additionally, some pigs had their chips replaced during the experiment, but this information is known and can be accounted for in the data analysis.

Figure 1 shows some statistics for each of the 24 boxes of feed consumption data (numbered from 2 to 26). Each row shows the number of individuals, the number events registered (“occupancy events”), and the period when data has been recorded.

FIGURE 1
Figure 1. Dataset with consumptions for each box.

A single individual will be present in each dataset row, representing an entry and an exit in the feeding space, no more than one animal can be in this space. Figure 2 shows a consumption dataset sample.

FIGURE 2
Figure 2. Consumption dataset sample.

Figure 3 shows one box with a time interval of about 15 minutes. The dots represent the time when a pig enters (or leaves) the trough. Hence each dot represents an event, “in”, represented by a circle, and “out”, represented by a triangle. Also, the colors of the events are used to distinguish the different animals. The estimated feed intake for each animal can be calculated by subtracting the amount of feed remaining in the trough at the time of exit from the initial amount of feed present at the time of entry. It is important to note that some animals do not occupy the trough continuously but rather return to the trough multiple times throughout the feeding period. This intermittent feeding behavior can be observed in the data. Furthermore, the linear decrease in feed quantity over time suggests that animals maintain a relatively constant feeding rate while they are actively consuming feed from the trough.

FIGURE 3
Figure 3. Time series of feed intake based on changes in feed quantity in the trough. Notice that the second pig ID (22126601) enters immediately after the first pig ID (22071680) leaves the trough.

Figure 4 shows the dataset that contains the weights of some of the animals (not all the pigs have this value) at three different temporal points: 16.01.2008, 27.02.2008, and 12.03.2008. Notice also that the acquisition of the weight information of the animals was before the acquisition of the feeding information.

FIGURE 4
Figure 4. Weight measurements for each box (linearly interpolated).

It is important to note that several boxes in the experiment lack complete weight data. Some boxes may have missing data for certain individuals or specific measurement dates. Additionally, the composition of some boxes changed over time due to the relocation, introduction, or removal of animals. This dynamic experimental design provides is a challenging opportunity to study animal behavior in different social and environmental contexts. As we mention, a total of 15 animals were relocated to different boxes during the experiment.

Data Cleansing

As we explain, the data have some issues, mainly due to the inherent complexity of capturing this kind of data. The fundamental issues we found are:

In addition, maybe due to instrumental errors, the data presents irregularities. An example is given in Figure 5 below, where the constant decay pattern previously shown in Figure 3 is now uneven, seemingly caused by instrumental errors.

FIGURE 5
Figure 5. Intake dataset errors.

Figure 6 shows the intake distribution of the animals at each time by the feeding device. The experiment’s raw data contains some clear errors, one can detect that some inferred intakes are negative.

FIGURE 6
Figure 6. Intakes distribution histogram.

The underlying causes of these observed negative feed intakes are challenging to definitively explain, particularly if they are systemic. For instance, in the case of feed refilling interfering with feeding times, it was not feasible to model and account for the refilling process to isolate its impact on the data.

To address these outliers, we adopted a straightforward approach: removing observations below zero and above 2 kg. The resulting distribution of feed intake data after this trimming process is visualized in Figure 7.

FIGURE 7
Figure 7. Distribution of cleansed intake data (Gaussian kernel interpolation).

Figure 8 shows that the feeding trough occasionally is empty. This can introduce errors in the feeding patterns estimation since the animals cannot feed during this period. but is a reason that is external to the inner behavior of the animal.

FIGURE 8
Figure 8. Quantity of feed in box 2.

Figure 9 shows that only specific days in the time series present a lack of feed in the troughs in several boxes. Also, we can see that since some boxes experience feed scarcity at the same time it seems to have common processes to refill the feed.

FIGURE 9
Figure 9. Simultaneous lack of feed in several boxes.

In instances of missing feed data, no corrective action was taken to avoid potential distortion of feeding pattern estimates. Similarly, in box 26, the absence of activity until January 15th necessitated the removal of this data period to prevent the erroneous estimation of zero feed intake. A visualization of the data after this adjustment is provided in Figure 10.

FIGURE 10
Figure 10. (a) Inactive period for box 11 in the dataset. (b) Inactive period for box 26 in the dataset. (c) Inactive period for box 3 in the dataset.

Other feed weights in the data seem erroneous, as is shown in the following Figure 11.

FIGURE 11
Figure 11. Feed weight data errors.

Feed intake, the variable of interest, is calculated as the difference between initial and final feed amounts. Occasionally, sudden drops in recorded feed weights can lead to significant overestimations of intake. To mitigate this issue, we removed any intake values exceeding 2 kg from the dataset. For some animals, weight data was incomplete or missing entirely. To address this, we employed linear regression to estimate missing values. Specifically, we extrapolated missing data points using the average percentage increase in weight observed in the existing dataset and the nearest available weight measurements.

DATA TRANSFORMATIONS

To extract significant information from the dataset, we derive some variables using the feed intakes and trough occupancy times for each animal. This information has been determined by experts who analyze the input dataset of the Veterinarian Faculty at the Universitat Autònoma de Barcelona and compare findings in related literature [8]. Based on this analysis, the most significant factors influencing feeding patterns were determined to be: (i) inter-individual competition for feeding resources (hierarchical dominance), (ii) individual hunger levels, and (iii) the inherent circadian rhythm of the animals, characterized by a double-peak feeding pattern during daylight hours, as will be further explored in the following section. The following variables, see Table 1, were calculated from the time series on intakes.

TABLE 1
Table 1. Variables calculated from the time series intakes.

We propose two additional variables: (i) a variable that decreases with feed intake and increases over time (Hunger level), and (ii) animal dominance, estimated indirectly from observed interactions within the data.

Hunger level could be estimated by analyzing feeding intervals or by standardizing intake relative to body weight. Alternatively, it could be modeled as a state variable that increases over time and decreases with each feeding event, potentially with an upper bound.

To simplify the model, we can express hunger as its reciprocal, satiation. The basic dynamics of satiation in the absence of feeding can be formulated as equation (1).

satiation( i, j i ) =satiation( i, j i 1) exp( α( t i t j1) ) (1)

where:

i : animal ID

j i : event nr. for the animal “ i ” events series

α < 0: rate of satiation, decreases by a unit of time (seconds)

The decay rate, α , is approximated as 1 × 10−4, assuming that a dominant individual would require approximately 8 hours to become hungry again. Time is measured in seconds. The hunger variable is defined as the inverse of satiation. To refine the calculation, we impose bounds of 0 and 1 on hunger and scale each intake by 1.5 times the animal’s 8-hour average intake to account for occasional overconsumption. This scaled intake is then subtracted from the cumulative satiation level, resulting in a satiation measure that is comparable to intake units and can be interpreted as the amount of residual feed within the animal. Hunger levels are calculated for each animal at every entry and exit event.

The hunger state of each pig is visualized at the moment of trough entry (Figure 12) or exit (Figure 13), represented on the y-axis. The subsequent (Figure 12) or preceding (Figure 13) intake is indicated by the size of the data points. All pigs depicted in these figures belong to the same pen. Both graphs illustrate the dichotomy between frequent, small meals (characteristic of subordinate individuals) and infrequent, large meals (typical of dominant individuals).

A small point indicates lower intake by the animal, while a large point indicates higher intake. The hunger state data reveals that dominant pigs tend to approach the trough only after extended periods of hunger and often leave fully satiated following uninterrupted feeding bouts.

FIGURE 12
Figure 12. Hunger at the time of entry in the feed trough and subsequent intake, the intake is represented by the size of the dots.
FIGURE 13
Figure 13. Hunger at the exit time. The size of the dots indicates the amount of intake.

Pigs are known to form strict hierarchical structures within a few days of interaction [8]. We assume a linear, transitive hierarchy, although occasional deviations may occur. An interaction is defined as an event where one pig is displaced by another within 5 seconds and then returns to the trough within 5 minutes, suggesting an intent to feed interrupted by a more dominant individual. The displaced pig is assigned a loss, and the displacer a win. While this definition captures dominance interactions, it may underestimate the dominance of dominant individuals, as their interactions with weaker pigs might not be observed.

To quantify these hierarchical relationships, we employ the Elo rating system, a Bayesian method commonly used in chess, named Elo because its creator, the mathematician Arpad Elo. It can be used to measure animal hierarchies as is suggested by [14]. Elo ratings measure relative strength and are continuously updated based on new information. In our context, an interaction between two pigs is considered a match, and the outcome determines how their ratings are adjusted.

The final Elo rating for each pig is used, as the system may take time to converge, especially for subordinate individuals. This calculation is implemented in R using the EloRating package [15].

Given two pigs with Elo ratings R1 and R2, the probability of pig 1 winning an interaction is given by:

win( el o 1 ,el o 2 ) ~Bernoulli( p) (2)

Where p is calculated on,

p= F 1 ( el o 1 el o 2 200  2 ) (3)

Here, F represents the cumulative Gaussian distribution function with a mean of 0 and a standard deviation of 1. The Elo measure is centered around 1000. For instance, an animal with an Elo rating of 1200 has a 76% probability of defeating an animal with a rating of 1000. Figure 14 illustrates the dynamic evolution of Elo ratings for all animals within a single box over time.

FIGURE 14
Figure 14. Elo score calculated over an expanding time window.

The calculations also provide stability measures. These metrics assess the rate of convergence toward a stable hierarchy. The S index, for instance, ranges from 0 (unstable) to 1 (perfectly stable) and is based on rank changes [14]. As an alternative to the Elo score, the David’s score, a measure of hierarchical dominance used in biostatistics, can be inferred from the sample interaction matrix (percentage of wins for each animal). Figure 15 saw S index, these are the measures are implemented in the R package Elo Ratings the equivalent David’s scores mentioned in Figure 16.

FIGURE 15
Figure 15. Example of S index.

Or the equivalent of David’s scores:

FIGURE 16
Figure 16. Equivalent of David’s scores.

EXPLORATORY ANALYSIS

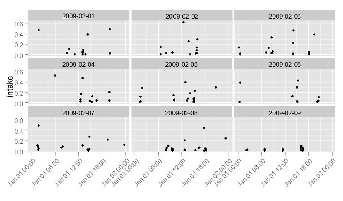
At this point, with the needed extra variables created and with the process of cleansing the raw data finished, we can start to derive some knowledge on the feeding pattern of the animals. Figure 17 shows a data sample for the quantity of feed, in kilograms, in the feeding trough. It is clear from Figure 17 how some individuals alternate the feeding trough occupancy. The visual representation of the intake data offers a first insight into the feeding habits of the animal which is pervasive across all boxes and over time: they tend to eat continuously throughout the day, but there are some periods of reduced activity, between midnight and sunrise; and some individuals show a more repetitive pattern to enter the trough, whereas others enter fewer times and stay longer periods.

FIGURE 17
Figure 17. One-day sample of underlying consumption data.

The number of feed decreases at a constant pace until the feeding trough is refilled with more feed. This refill process is done in fixed amounts. On Figure 18 is presented an example of a period, where feed decreases at a constant pace, nonetheless of the animal that is occupying the trough. This implies for our modeling purposes, that how the animals eat, the feeding speed, is very homogeneous across all animals. The rate we detect is nearly 1 kg of feed per hour.

FIGURE 18
Figure 18. Feeding pattern.

Although all animals appear to consume food at a similar rate, a closer analysis of specific individuals reveals disparities in feeding patterns. Dominant animals exhibit fewer feeding events, often occurring at consistent times, and avoid nocturnal feeding (Figure 19). Conversely, subordinate animals engage in more frequent feeding, particularly during early hours (Figure 20), potentially as a strategy to minimize encounters with dominant individuals.

FIGURE 19
Figure 19. Dominant pig feeding patterns.
FIGURE 20
Figure 20. Subordinated pig feeding patterns.

Periods of reduced activity at the feeding trough, typically between midnight and 6:00, coincide with the animals’ sleep patterns. Outside of these periods, feeding activity appears to be distributed relatively evenly throughout the day. Notably, two distinct peak feeding periods are observed in all boxes. Figure 21 presents the average occupancy of each box during the measurement period. One specific box demonstrates continuous trough occupancy between 17:00 and 18:00.

FIGURE 21
Figure 21. Average occupancy by an hour of the day. The lines represent the different boxes.

This feeding pattern reflects the feeding behavior of the pigs. Because of excessive competition, few animals are forced to eat during sleep hours. The animals adhere to regular diurnal patterns, which approximately coincide with sunrise and sunset. Figure 22 shows the number of intake peaks, that also follow this bimodal distribution along the day. This pattern is prevalent across all the boxes and represents the circadian rhythms of the animals.

FIGURE 22
Figure 22. Average intake by an hour and by box. The lines represent the different boxes.

On the other side, if we analyze the animal weight, which is the only biometric variable available from the experiments, and the feeding habits, also there is no clear pattern to explain a relation. Figures 23 and 24 present intake and occupancy data for pigs with available weight data, categorized by box. While no apparent relationship exists between animal size and feeding dominance, it is evident that some heavier animals consume less feed and occupy the feeding trough for shorter durations, indicating a lack of dominant status despite their size.

FIGURE 23
Figure 23. Average daily intake by pig vs weight.
FIGURE 24
Figure 24. Average daily occupancy by pig vs weight.

Figure 25 indicates that animal weight is not a strong predictor of average feeding speed.

FIGURE 25
Figure 25. Hunger, as feeding speed, vs weight.

As previously discussed, certain animals display a pattern of more frequent, smaller meals, irrespective of their weight. Figure 26 presents the daily intake distribution for all animals within a single box.

FIGURE 26
Figure 26. Average hourly intakes by pig vs weight.

Subordinate animals display irregular feeding patterns, with some individuals consuming food intermittently throughout the day, while others adhere to a more regular schedule. Conversely, dominant animals tend to concentrate their feeding activity during the two primary meal periods. Figure 27 demonstrates this pattern.

FIGURE 27
Figure 27. Average occupancy schedule by pig vs weight.

The state variable “hunger” accurately predicts the timing of an animal’s return to the feeding trough. Although not a biometric parameter, it facilitates the simulation of diverse time distributions for dominant pigs, contingent upon their hunger level at the time of departure. Figure 28 illustrates that for dominant animals with extended occupancy, hunger level determines the shape of the subsequent return-to-feed time distribution. Conversely, for subordinate animals, hunger level does not substantially modify this distribution.

FIGURE 28
Figure 28. Hunger level vs time to come back to the trough for a dominant and a weak animal.

Figure 29 illustrates that the only feeding behavior variable significantly predicted by animal weight is feed intake. Notably, this relationship is not observed when intake is standardized by animal weight.

From a farm management perspective, this finding is significant as feed intake, a variable easily obtainable through sensors, is a key factor influencing animal behavior. By understanding this relationship, farmers can potentially implement strategies to not only manage animal health (e.g., administering medications through feed) but also to optimize resource utilization and the management of feeding machines on the farm.

FIGURE 29
Figure 29. Weight vs Daily intake with the linear relation between the two variables.

CONCLUSIONS

This study has enabled the analysis and characterization of the animals’ circadian rhythms, diverse feeding behaviors, and the empirical segmentation and distribution of these patterns. Notably, several initial theoretical assumptions regarding the data were not supported by empirical testing. The analysis reveals that the data do not align with a priori expectations of animal behavior, such as a direct correlation between animal weight and feeding behavior. This discrepancy may be attributed to the limited data available for each animal, which hinders accurate inference. Furthermore, the inability to definitively establish hierarchical dominance among individuals based on indirectly observed interactions limits the correlation between dominance and feeding habits.

The inability to establish a direct link between feeding behavior and biometric data is a significant finding. Initial hypotheses, which often rely on weight or age to predict feeding patterns, were not supported by the statistical analysis. Insufficient or weak correlations between observed variables precluded a straightforward characterization of the animals, necessitating the development of the presented model. Furthermore, the distinction between dominant and subordinate animals, previously conceived as a binary categorization, proved to be less clear-cut. A continuous spectrum of behaviors exists between these two extremes. Consequently, the model had to accommodate this behavioral diversity, as a simple binary classification of dominance was not feasible.

Further analysis can be easily done, based on this data, and detailing the animal’s behavior based on this analysis, in a simulation model, specifically in a multi-agent simulation model (MAS) where the agents will represent the animals.

Potential applications of this statistical model include optimizing nutrient intake, a critical factor when animals receive medication in their feed. By predicting nutrient and drug levels in both weaker and dominant pigs over time, the model can help mitigate health and environmental side effects associated with drug use. Additionally, the model can support precision feeding and nutrition, enabling daily diet customization for optimal nutrient utilization, reduced costs, and improved nitrogen efficiency.

DATA AVAILABILITY

Data was collected from an experimental farm, IRTA, in Monells de la Selva, Catalonia. the barn had controlled ventilation and temperature. each pen had an ivog®-station (insentec, Netherlands) that recorded feeding data via electronic identification. Pure Duroc pigs were used, fed a commercial diet, and their weight, backfat thickness, and loin-muscle depth were recorded every three weeks using ultrasonic equipment. Automatic feeding devices tracked the times and amounts of feed consumed by each pig throughout the day using electronic chips.

AUTHOR CONTRIBUTIONS

Conceptualization, PFiC and CCA; Methodology, PFiC; Software, PFiC; Validation, PFiC, CGO, CCA and MAA; Formal Analysis, PFiC, BP; Investigation, CGO, CCA and BP; Resources, CGO and MAA; Data Curation, CGO; Writing—Original Draft Preparation, PFiC and CCA; Writing—Review and Editing, PFiC and BP; Visualization, PFiC; Supervision, MAA; Project Administration, CCA and MAA; Funding Acquisition, CCA and MAA.

CONFLICTS OF INTEREST

The authors declare that they have no conflicts of interest.

ACKNOWLEDGMENTS

We want to thank the work done by Alberto Guillén in his final master’s degree work, who serves as a basis for this research. We want to acknowledge also the IRTA for providing the needed dataset to conduct this research.

REFERENCES

1.

2.

3.

4.

5.

6.

7.

8.

9.

10.

11.

12.

13.

14.

15.

How to Cite This Article

Fonseca i Casas P, Olivares CG, Adell CC, Arzó MA, Patel B. Characterization of the Feeding Behavior of Pure Duroc Pigs. J Sustain Res. 2025;7(1):e250005. https://doi.org/10.20900/jsr20250005

Copyright © Hapres Co., Ltd. Privacy Policy | Terms and Conditions